Fig. 15

Download original image
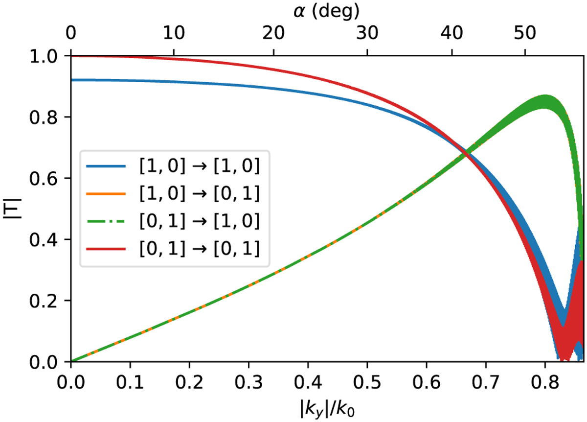
Polarization change in the first order transmitted plane wave for an incoming plane wave at the Bragg wavelength and incoming wavevector k, with kX tuned to the Bragg angle, but with a varying ky. The lines for [0, 1] → [1,0] and [1,0] → [0,1] overlap. The lower transmission of the [0,1] → [0,1] mode can also be seen in Fig. 4, and the thicker lines at higher |ky| are unresolved Fabry-Perot fringes.
Current usage metrics show cumulative count of Article Views (full-text article views including HTML views, PDF and ePub downloads, according to the available data) and Abstracts Views on Vision4Press platform.
Data correspond to usage on the plateform after 2015. The current usage metrics is available 48-96 hours after online publication and is updated daily on week days.
Initial download of the metrics may take a while.