Fig. 4

Download original image
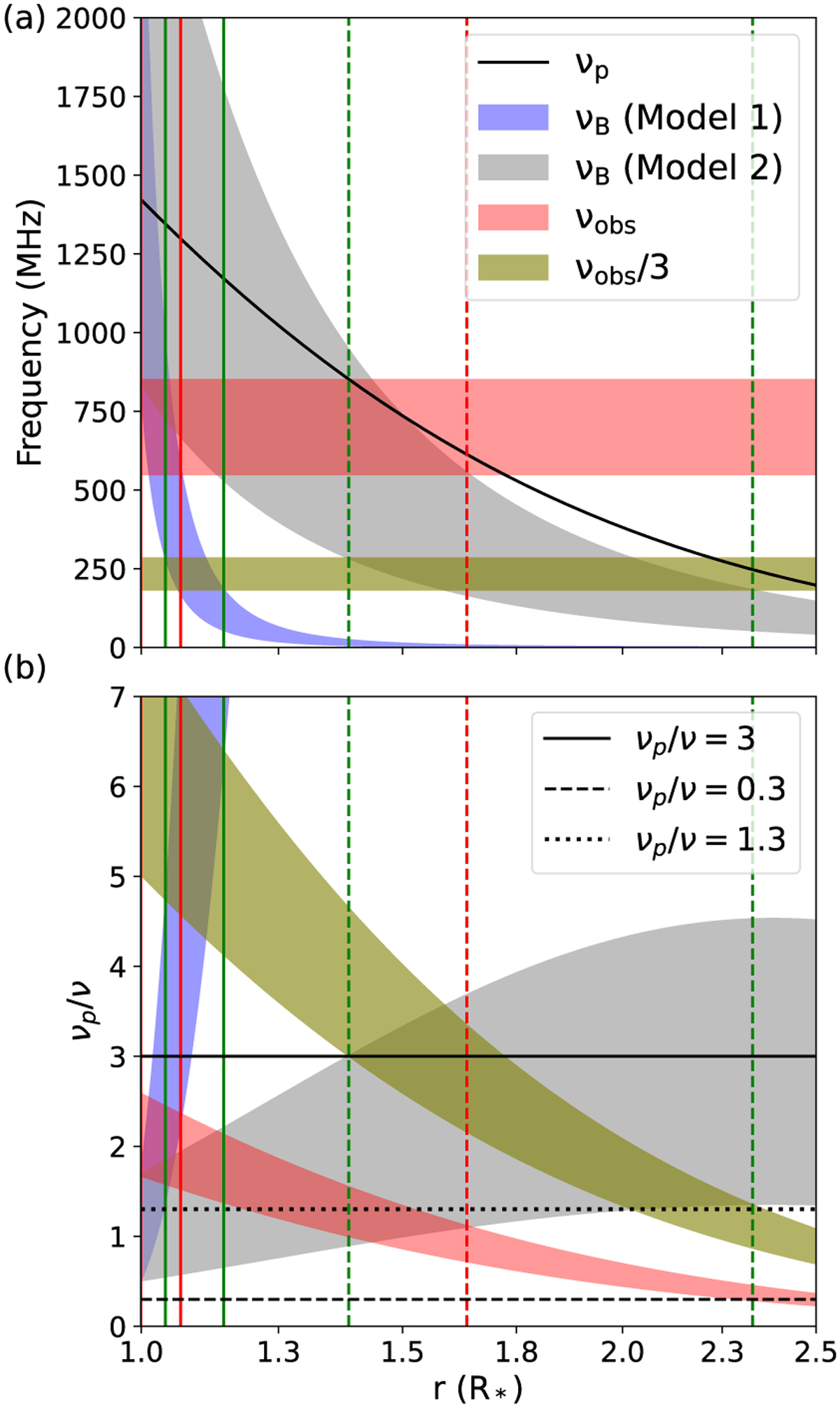
Possible scenarios for ECME mechanism to operate, (a) vp(r) and vB(r) for corona of AD Leo. vB is found using Model 1 (Eq. (1)) and Model 2 (Eq. (2)). The observing band (vobs ∊ [550, 850] MHz) and vobs/3 are marked, (b) vp/vB(r) for two B(r) models and the ratios of vp to v for vobs and vobs/3 are shown. Colour choice is the same as in the top panel. Red lines mark the r range where vobs overlap vB and green lines mark the overlap r range of vobs/3 with vB (solid line: Model 1, dashed: Model 2).
Current usage metrics show cumulative count of Article Views (full-text article views including HTML views, PDF and ePub downloads, according to the available data) and Abstracts Views on Vision4Press platform.
Data correspond to usage on the plateform after 2015. The current usage metrics is available 48-96 hours after online publication and is updated daily on week days.
Initial download of the metrics may take a while.