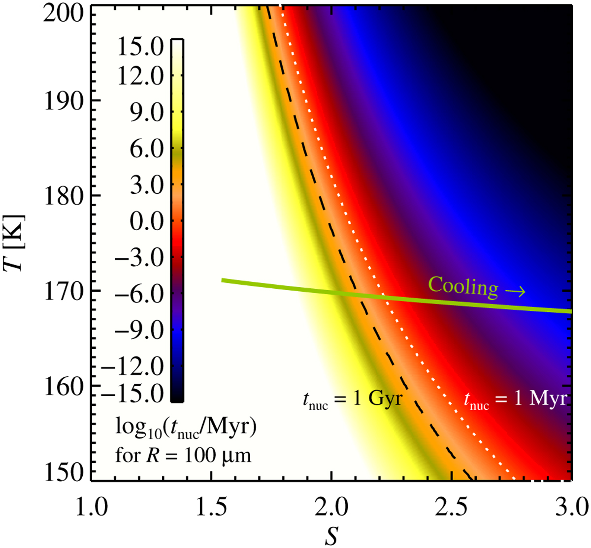
Fig. 1

Download original image
Nucleation timescale for a single 100-micrometre-sized grain for a range of super-saturations (S) and temperatures (T). The dotted line marks the 1 Myr nucleation timescale, and the dashed line shows the 1 Gyr nucleation timescale. We illustrate a schematic cooling path at the conditions of the water ice line with the green line.
Current usage metrics show cumulative count of Article Views (full-text article views including HTML views, PDF and ePub downloads, according to the available data) and Abstracts Views on Vision4Press platform.
Data correspond to usage on the plateform after 2015. The current usage metrics is available 48-96 hours after online publication and is updated daily on week days.
Initial download of the metrics may take a while.