Fig. 4

Download original image
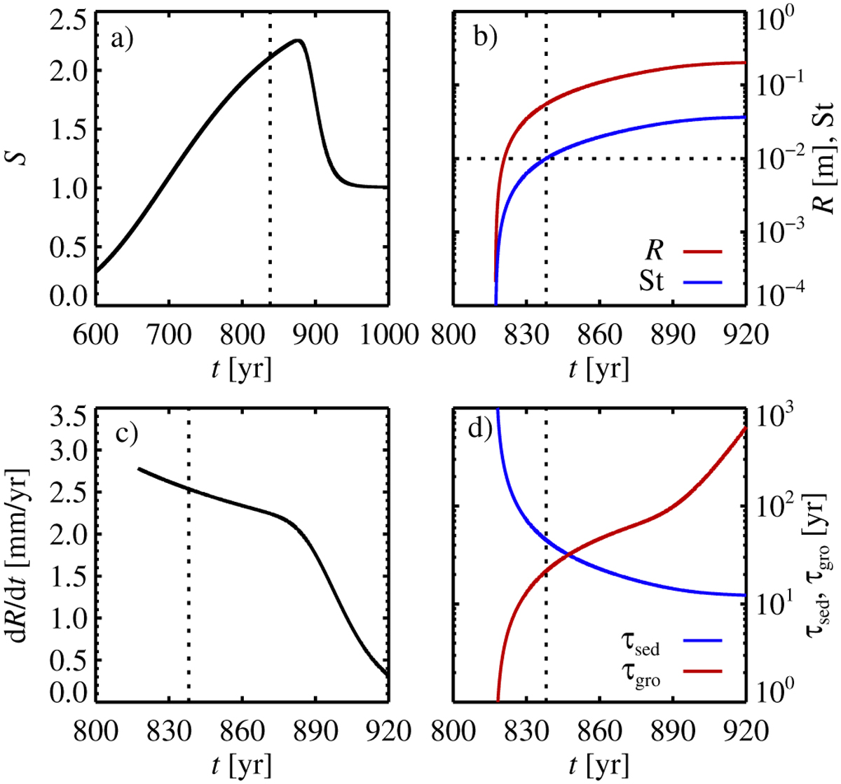
Evolution of a representative pebble at 1.8 au, nucleating when S = 2, corresponding to a time of t ≈ 840 yr. Panel a shows the super-saturation S at 1.8 au. Panel b shows the particle size in metres and Stokes number. We mark St = 0.01 with a dotted line. Panel c shows the growth rate in millimetres per year, and panel d shows the sedimentation and growth timescales. The cooling time of the disc is tcool =100 yr.
Current usage metrics show cumulative count of Article Views (full-text article views including HTML views, PDF and ePub downloads, according to the available data) and Abstracts Views on Vision4Press platform.
Data correspond to usage on the plateform after 2015. The current usage metrics is available 48-96 hours after online publication and is updated daily on week days.
Initial download of the metrics may take a while.