Fig. 5

Download original image
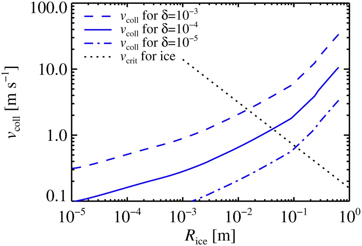
Ice particle collision speed as a function of the mean ice particle size in each radial bin for a turbulent diffusion coefficient of δ = 10−3, δ = 10−4, and δ = 10−5. The critical velocity for ice fragmentation is over-plotted as a dotted line. Ice particles can grow to a few centimetres before they risk fragmentation in collisions.
Current usage metrics show cumulative count of Article Views (full-text article views including HTML views, PDF and ePub downloads, according to the available data) and Abstracts Views on Vision4Press platform.
Data correspond to usage on the plateform after 2015. The current usage metrics is available 48-96 hours after online publication and is updated daily on week days.
Initial download of the metrics may take a while.