Fig. 8.

Download original image
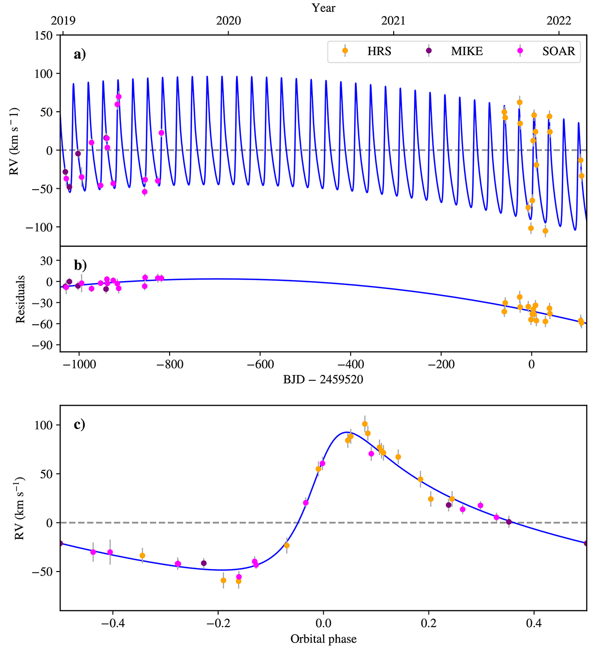
Optimized spectroscopic solution for the RVs of the primary component of ExtEV. The points on all panels are marked with different colors depending on the spectrograph (labeled in the top panel). The blue curve represents the best-fit model. (a) RV curve including orbital solution and the long-term changes. (b) RV curve with the orbital solution subtracted. (c) RVs phased with the orbital period given in Table 6 after freeing from the long-term changes of RVs shown in panel b.
Current usage metrics show cumulative count of Article Views (full-text article views including HTML views, PDF and ePub downloads, according to the available data) and Abstracts Views on Vision4Press platform.
Data correspond to usage on the plateform after 2015. The current usage metrics is available 48-96 hours after online publication and is updated daily on week days.
Initial download of the metrics may take a while.