Fig. 2

Download original image
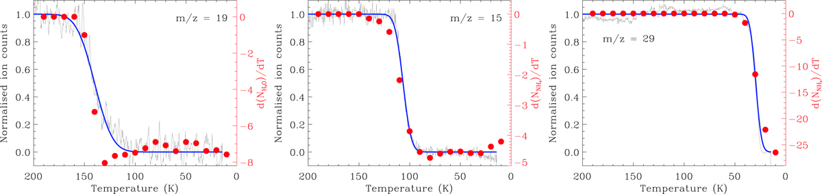
Normalized QMS ion counts for m/z = 19 (DHO), 15 (NH), and 29 (13CO) as functions of the temperature at the deposition pressure of Pd = 6 × 10−7 Torr. The three species are representative of H2O, NH3, and CO, respectively. The blue line represents the best fit using the relation Q = 1 - D. Red dots are the derivative of the column density expressed in monolayers (right vertical axes).
Current usage metrics show cumulative count of Article Views (full-text article views including HTML views, PDF and ePub downloads, according to the available data) and Abstracts Views on Vision4Press platform.
Data correspond to usage on the plateform after 2015. The current usage metrics is available 48-96 hours after online publication and is updated daily on week days.
Initial download of the metrics may take a while.