Open Access
Fig. 4

Download original image
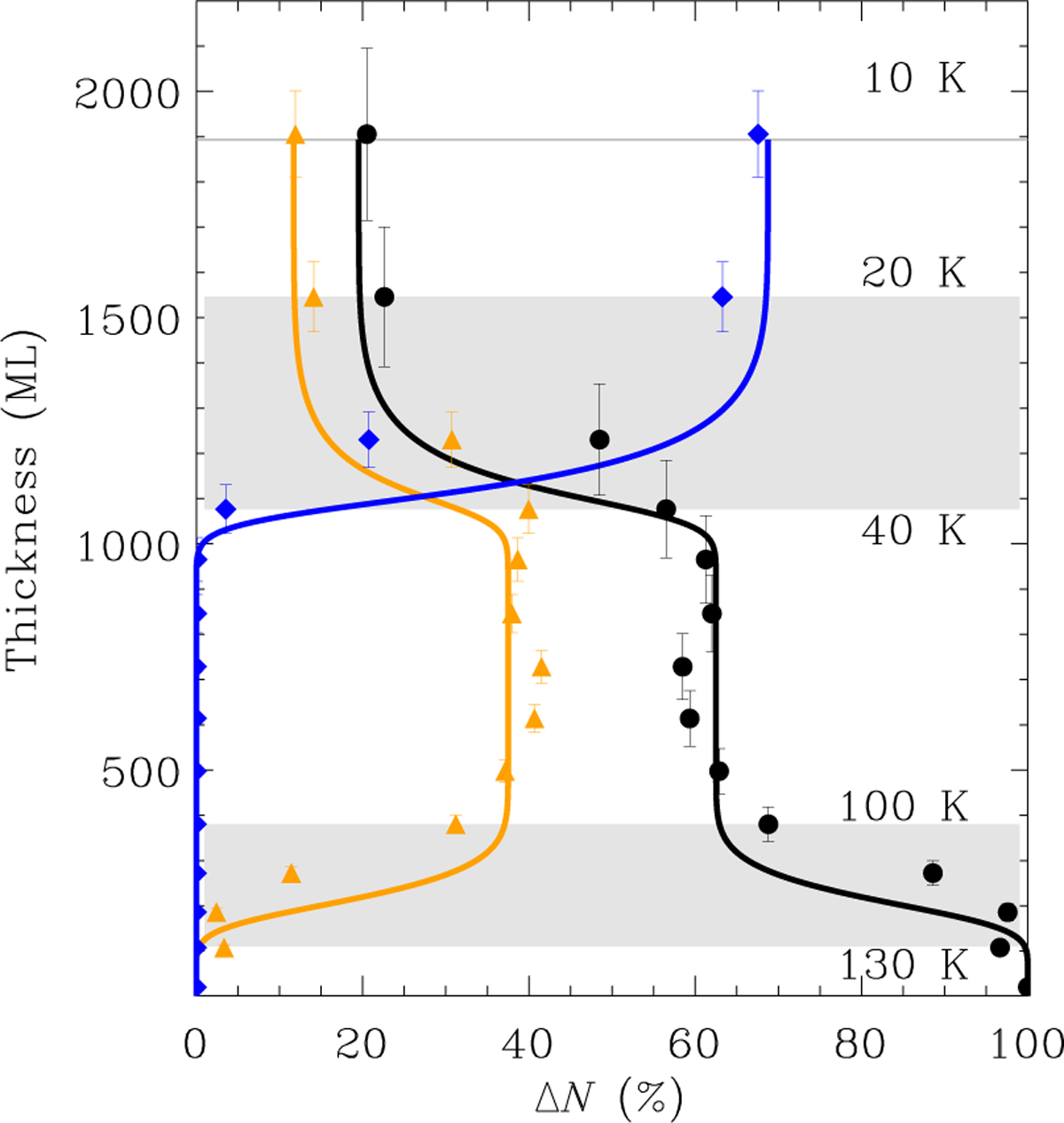
Fractional ice composition AN as a function of the ice thickness (symbols). Solid lines are the simulated evolutionary profiles of the ice components following the temperature decrease. Black circles represent H2O, orange triangles indicate NH3, and blue diamonds symbolize CO.
Current usage metrics show cumulative count of Article Views (full-text article views including HTML views, PDF and ePub downloads, according to the available data) and Abstracts Views on Vision4Press platform.
Data correspond to usage on the plateform after 2015. The current usage metrics is available 48-96 hours after online publication and is updated daily on week days.
Initial download of the metrics may take a while.