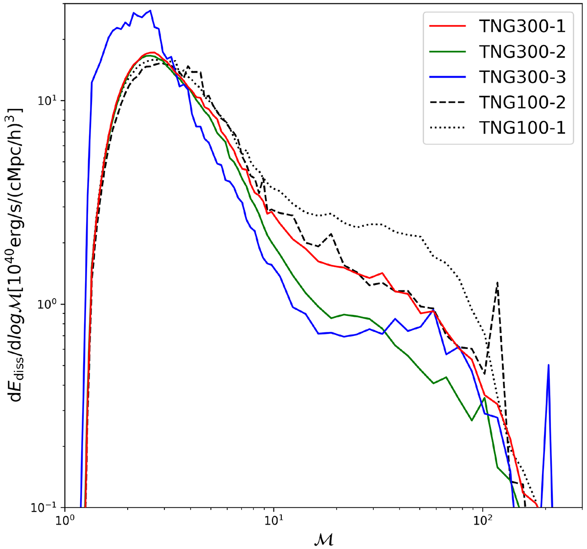
Fig. A.1.

Download original image
Volume-averaged energy dissipation rate in shocks simulated in the various runs of the IllustrisTNG. The TNG-Cluster simulation has the same resolution as the TNG300-1 and TNG100-2 runs. The energy dissipated by weak shocks (ℳ < 10) converges in the simulation runs if the resolution is better than that of TNG300-2, while the energy of the strong shocks (ℳ > 10) increases with increasing resolution.
Current usage metrics show cumulative count of Article Views (full-text article views including HTML views, PDF and ePub downloads, according to the available data) and Abstracts Views on Vision4Press platform.
Data correspond to usage on the plateform after 2015. The current usage metrics is available 48-96 hours after online publication and is updated daily on week days.
Initial download of the metrics may take a while.