Open Access
Fig. 4.

Download original image
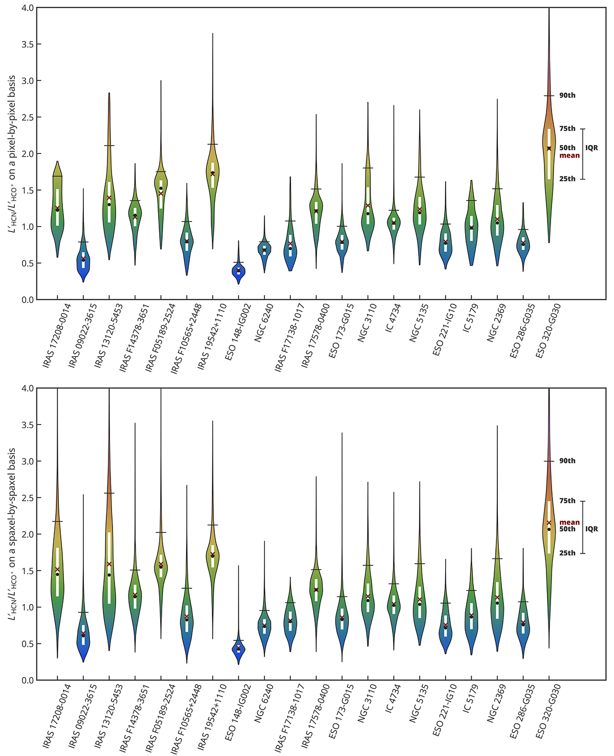
Violin plots for on a pixel-by-pixel basis (top) and on a spaxel-by-spaxel basis (bottom). Mean, 50th, and 90th percentiles are denoted by a cross, dot, and a short horizontal bar, respectively, with the IQR displayed as a white bar. Corresponding numerical values are listed in Table 6. See Sect. 5.3 for details.
Current usage metrics show cumulative count of Article Views (full-text article views including HTML views, PDF and ePub downloads, according to the available data) and Abstracts Views on Vision4Press platform.
Data correspond to usage on the plateform after 2015. The current usage metrics is available 48-96 hours after online publication and is updated daily on week days.
Initial download of the metrics may take a while.