Fig. 3.

Download original image
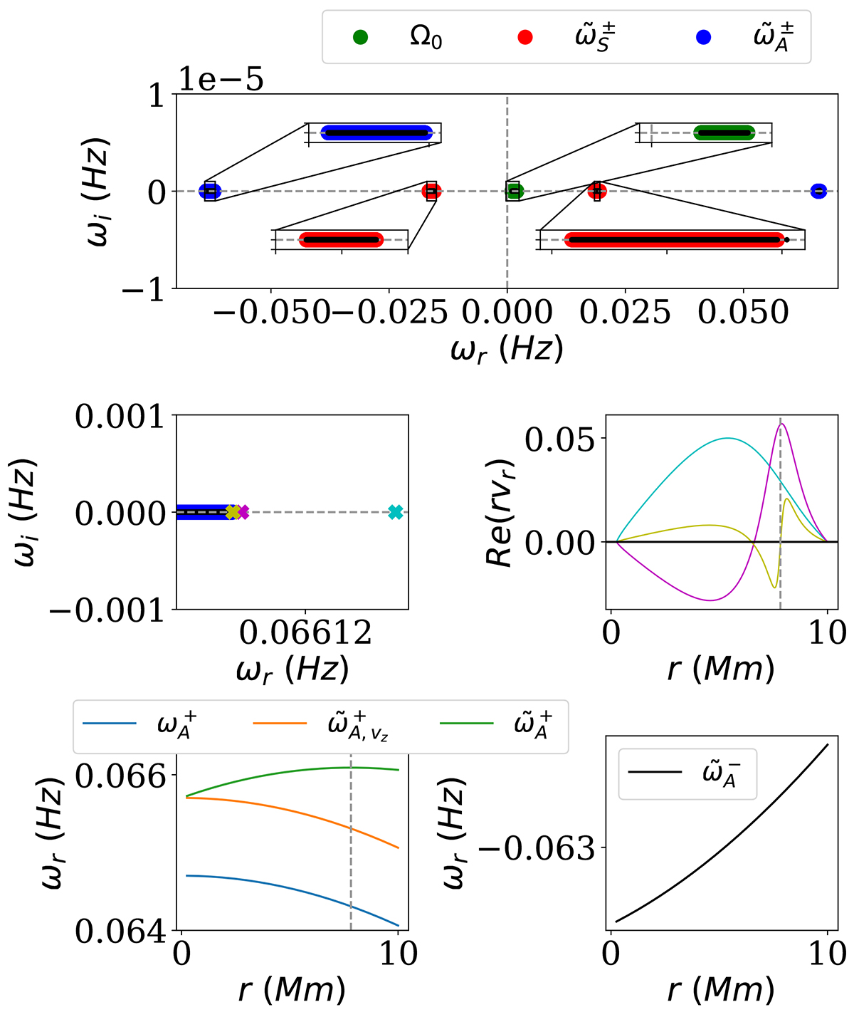
Top panel: overview of the spectrum of the adiabatic benchmark equilibrium with both azimuthal and axial flow is shown. Insets zooming in on the continua are added. Middle left panel: zoom-in image of the upper edge of the forward-propagating Alfvén continuum. Three discrete Alfvén modes are marked. The corresponding eigenfunctions are shown in the middle right panel. Bottom left panel: forward-propagating Alfvén continuum as a function of radius for the adiabatic benchmark equilibrium, for the static version of the benchmark equilibrium, and for a version of the benchmark equilibrium with only axial flow. The backward-propagating Alfvén continuum is shown in the bottom right panel.
Current usage metrics show cumulative count of Article Views (full-text article views including HTML views, PDF and ePub downloads, according to the available data) and Abstracts Views on Vision4Press platform.
Data correspond to usage on the plateform after 2015. The current usage metrics is available 48-96 hours after online publication and is updated daily on week days.
Initial download of the metrics may take a while.