Fig. 5.

Download original image
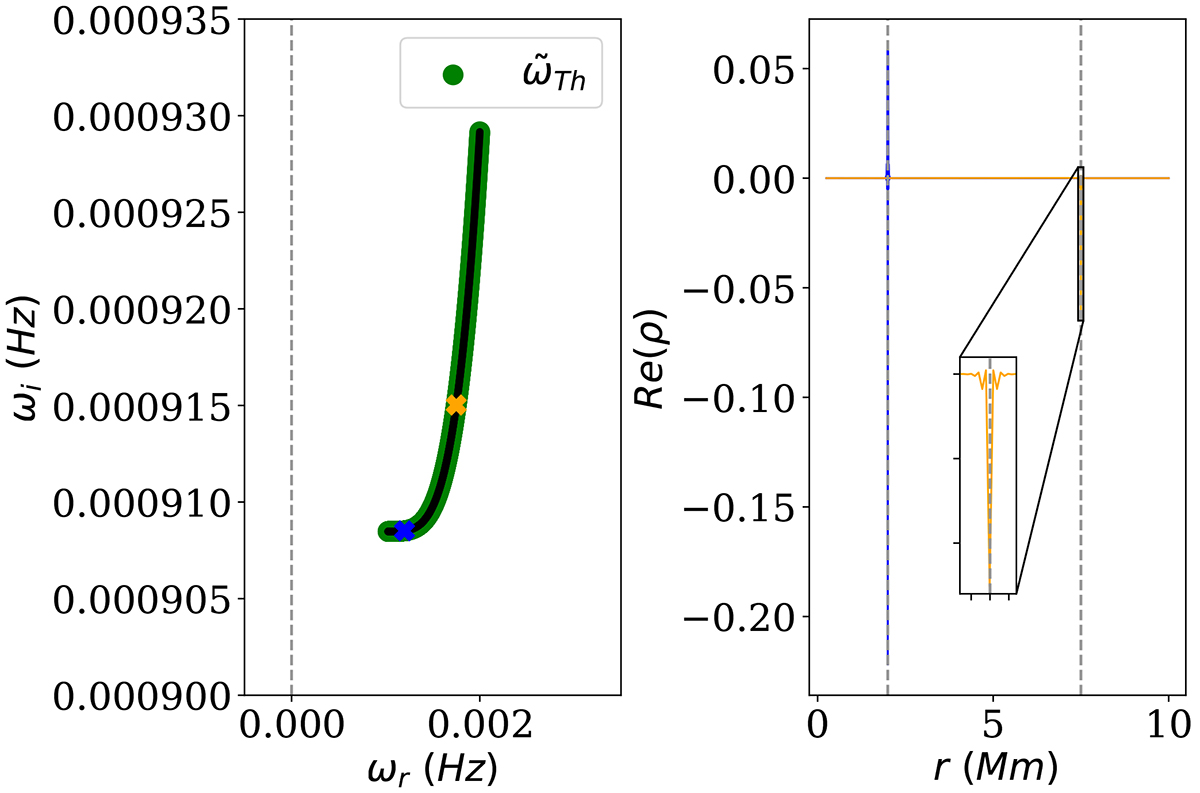
Left panel: zoomed-in image of the thermal continuum of the benchmark equilibrium with the vertical axis as a grey dotted line. Right panel: density eigenfunctions of the orange and blue modes indicated by crosses in the left panel are shown. An inset focused on the localised non-square integrable shape is given in the right panel; vertical grey lines indicate the radial position of the resonance.
Current usage metrics show cumulative count of Article Views (full-text article views including HTML views, PDF and ePub downloads, according to the available data) and Abstracts Views on Vision4Press platform.
Data correspond to usage on the plateform after 2015. The current usage metrics is available 48-96 hours after online publication and is updated daily on week days.
Initial download of the metrics may take a while.