Fig. 7.

Download original image
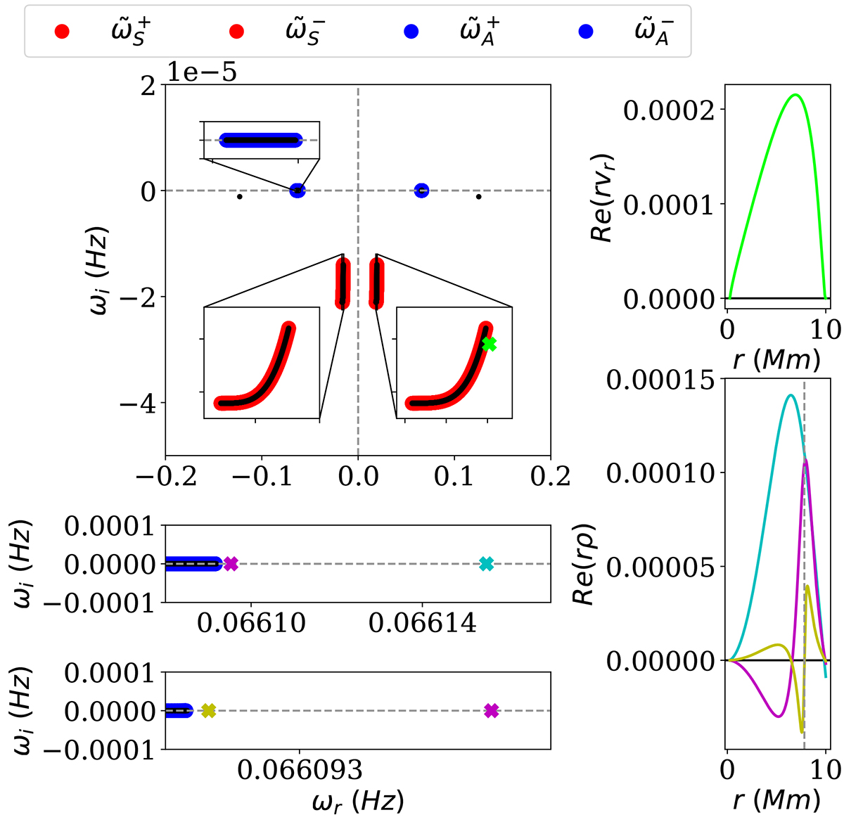
Slow and Alfvén continua of the benchmark equilibrium (red and blue, respectively). The results obtained with Legolas are the black dots. In the top left panel the insets show zoomed-in images of the backward-propagating Alfvén continuum and the two slow continua. The two panels below the main spectrum are zoom-ins onto the forward-progating Alfvén continuum, with another zoom-in towards the right edge. The discrete modes are marked with coloured crosses. The eigenfunction of the discrete slow mode is shown in the top right panel. In the bottom right panel the eigenfunctions of the three discrete Alfvén modes are shown together with a grey dotted line denoting the location where the Alfvén continuum reaches its maximum.
Current usage metrics show cumulative count of Article Views (full-text article views including HTML views, PDF and ePub downloads, according to the available data) and Abstracts Views on Vision4Press platform.
Data correspond to usage on the plateform after 2015. The current usage metrics is available 48-96 hours after online publication and is updated daily on week days.
Initial download of the metrics may take a while.