Fig. 10

Download original image
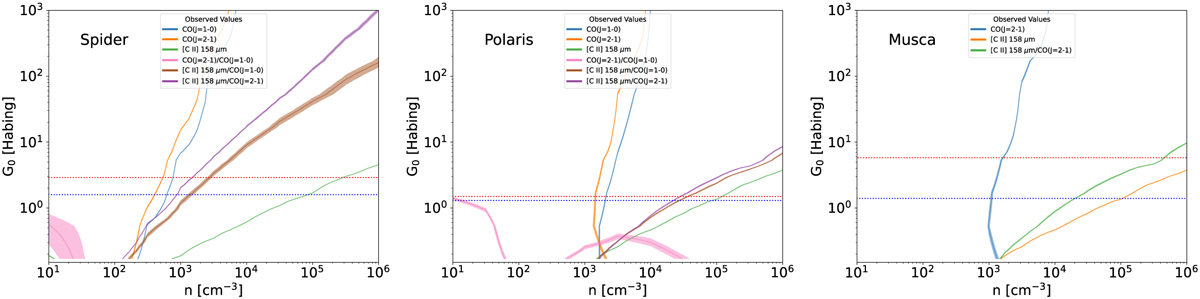
PDR modeling results for Spider, Polaris, and Musca. Parameter space of hydrogen density n and FUV field calculated from the KOSMA-τ model taken from the PDR toolbox for the Spider 1 position (left, 0.1 M⊙ clumps), the Polaris single pointing (middle, 1 M⊙ clumps ), and the Musca single pointing (right, 0.1 M⊙ clumps). The isocontours at different colors show the observed line integrated intensities or ratios, including the rms noise. The estimated FUV field for each source from the 160 µm flux is indicated by a red dashed line. The FUV field from the census of the stars is given as a dashed blue line.
Current usage metrics show cumulative count of Article Views (full-text article views including HTML views, PDF and ePub downloads, according to the available data) and Abstracts Views on Vision4Press platform.
Data correspond to usage on the plateform after 2015. The current usage metrics is available 48-96 hours after online publication and is updated daily on week days.
Initial download of the metrics may take a while.