Open Access
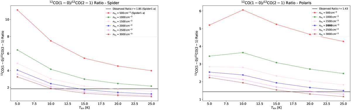
Fig. 14

Download original image
RADEX results for the 12CO 1→0/2→1 brightness ratios as a function of density and temperature for the Spider 1a position (left panel) and the Polaris positions (right panel). The observed ratios are shown as a solid and dashed black line. The density obtained with PDR modeling is marked in bold.
Current usage metrics show cumulative count of Article Views (full-text article views including HTML views, PDF and ePub downloads, according to the available data) and Abstracts Views on Vision4Press platform.
Data correspond to usage on the plateform after 2015. The current usage metrics is available 48-96 hours after online publication and is updated daily on week days.
Initial download of the metrics may take a while.