Open Access
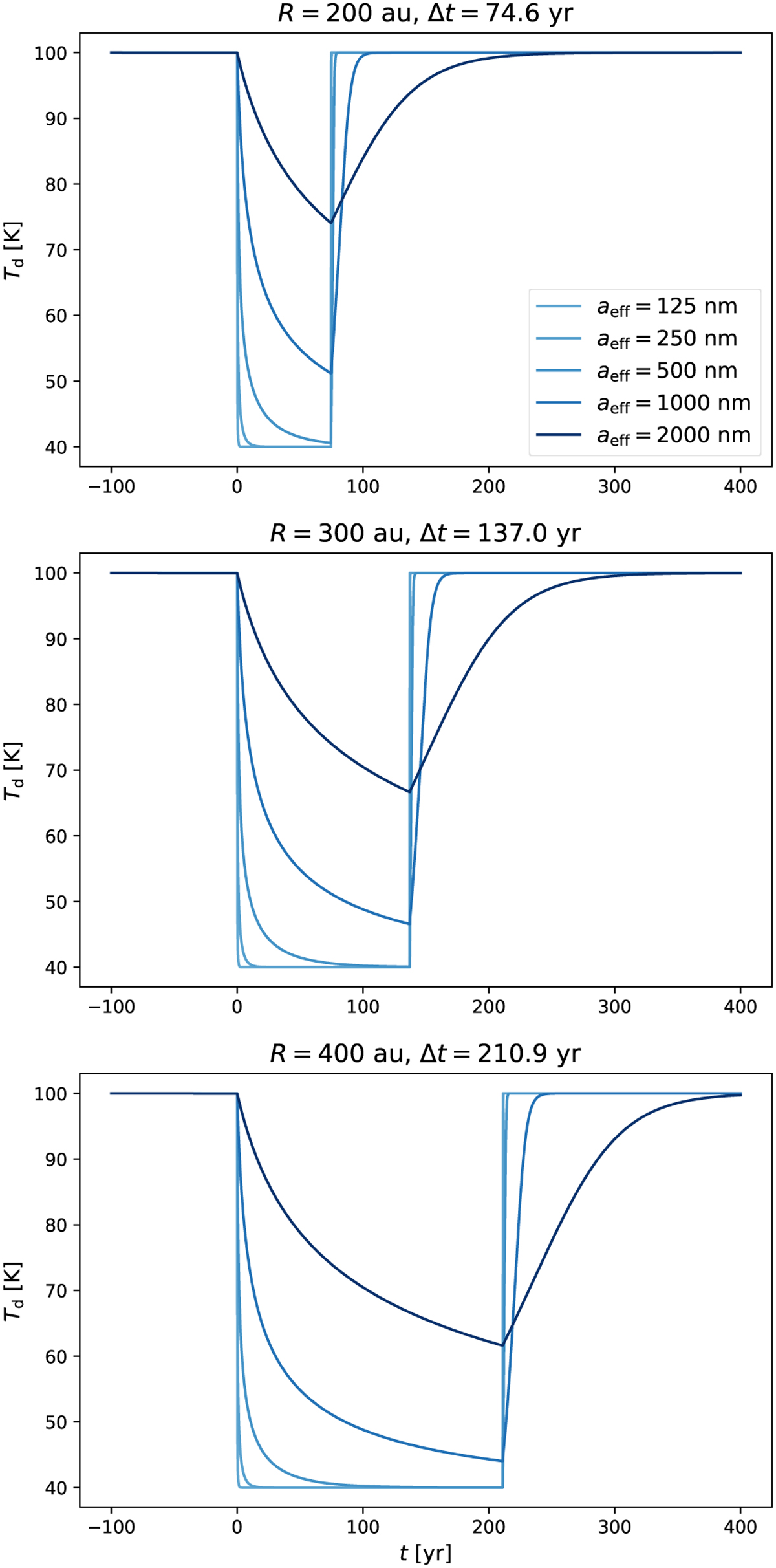
Fig. 3

Download original image
Temporal evolution of the dust temperature, Td, within the outer disk for different grain sizes, aeff, and shadow transition periods, Δt. Calculating are performed for the three distances from the central star of R = 200 au (top panel), R = 300 au (middle panel), and R = 400 au (bottom panel), respectively.
Current usage metrics show cumulative count of Article Views (full-text article views including HTML views, PDF and ePub downloads, according to the available data) and Abstracts Views on Vision4Press platform.
Data correspond to usage on the plateform after 2015. The current usage metrics is available 48-96 hours after online publication and is updated daily on week days.
Initial download of the metrics may take a while.