Open Access
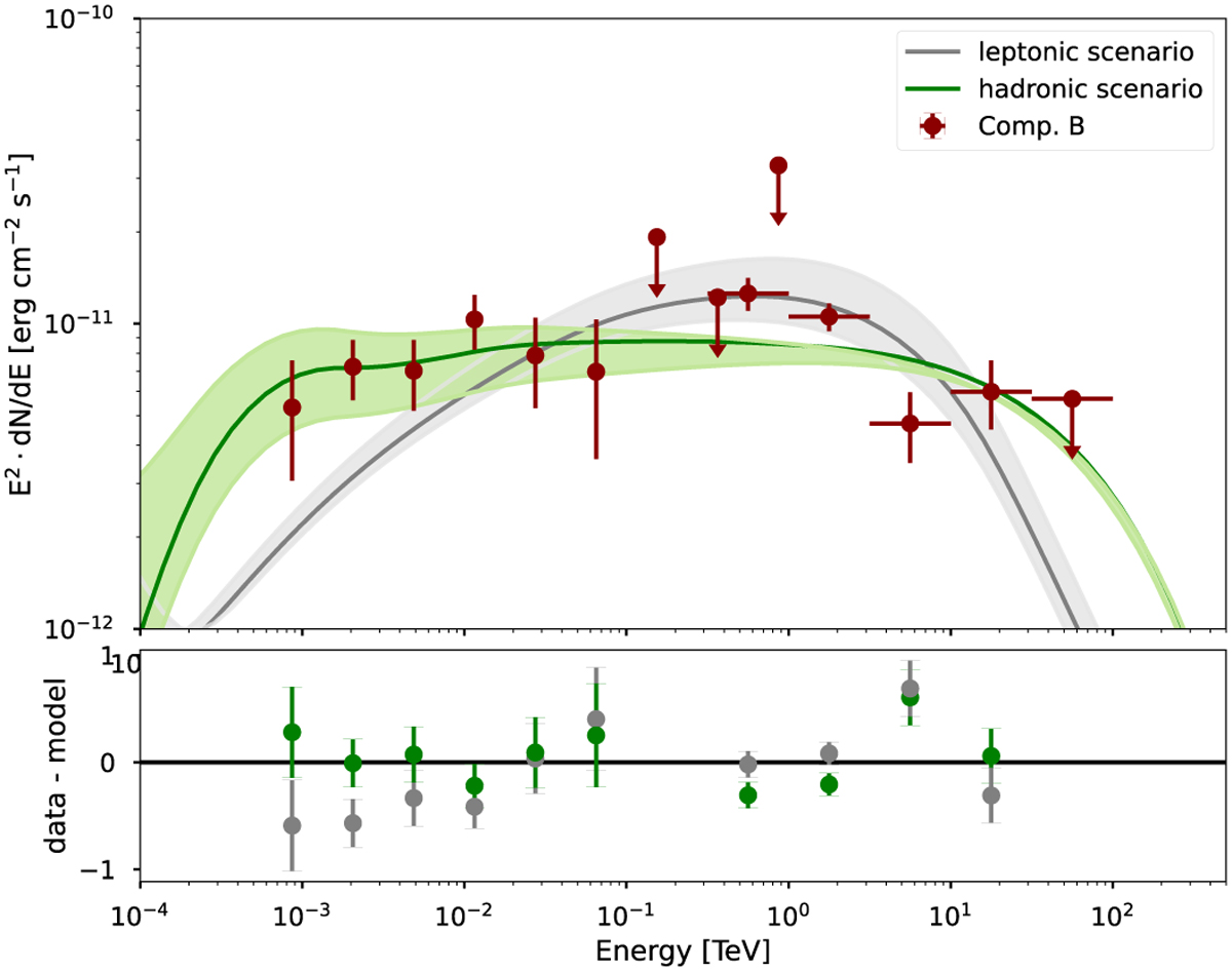
Fig. 10

Download original image
Estimated γ-ray flux for the hadronic model compared to the γ-ray flux expected for the leptonic model computed in Sect. 4.1. The deviation of the SED to the respective model curves are shown in the bottom panel.
Current usage metrics show cumulative count of Article Views (full-text article views including HTML views, PDF and ePub downloads, according to the available data) and Abstracts Views on Vision4Press platform.
Data correspond to usage on the plateform after 2015. The current usage metrics is available 48-96 hours after online publication and is updated daily on week days.
Initial download of the metrics may take a while.