Open Access
Fig. 8

Download original image
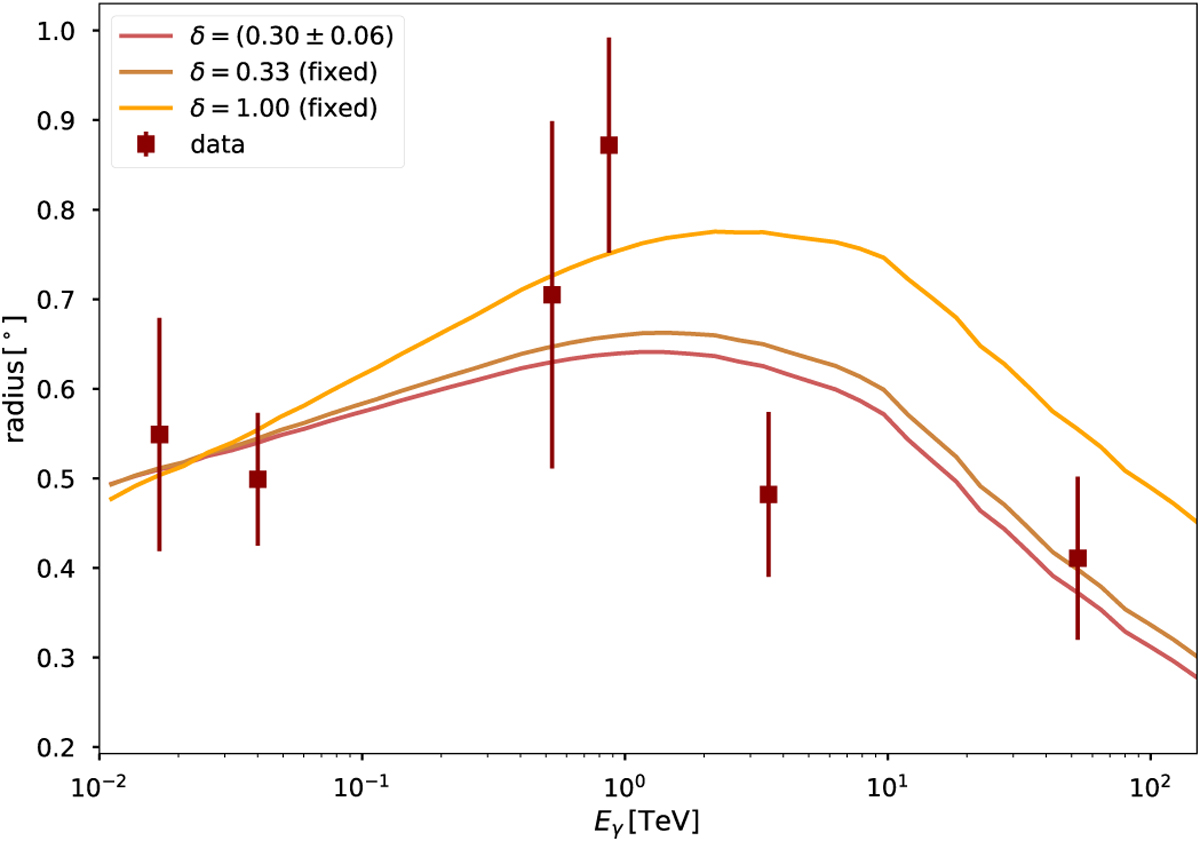
Measured extension of HESS J1813–178B in continuous energy bands, specified in Table 3, is shown in red. The figure also shows the expected 1σ containment radius for different diffusion coefficients.
Current usage metrics show cumulative count of Article Views (full-text article views including HTML views, PDF and ePub downloads, according to the available data) and Abstracts Views on Vision4Press platform.
Data correspond to usage on the plateform after 2015. The current usage metrics is available 48-96 hours after online publication and is updated daily on week days.
Initial download of the metrics may take a while.