Fig. 1

Download original image
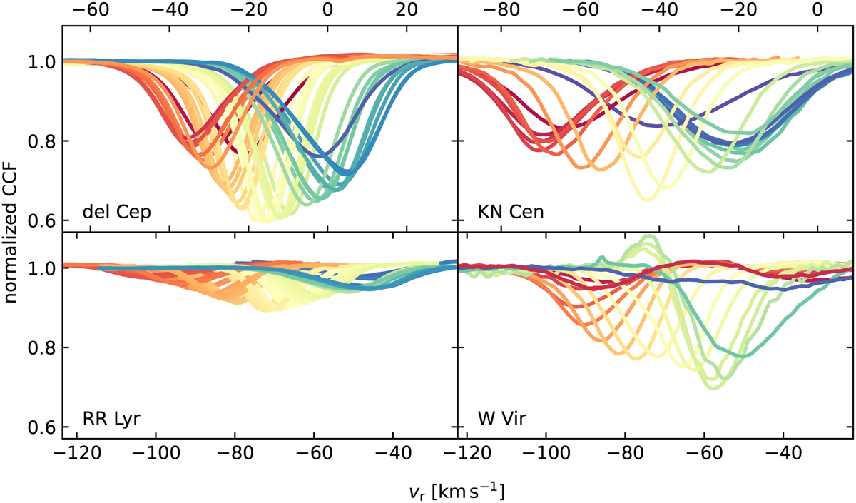
Example CCFs for four pulsating stars as labeled. The color traces the pulsation phase. KN Cen is a long-period, high-amplitude type-I Cepheid. The others are prototypes of their respective pulsating star classes. CCF shape variations follow a characteristic pattern for type-I Cepheids. RR Lyrae stars are hotter and feature shallower CCFs with very large amplitudes and line asymmetry, whereas W Virginis stars can exhibit signatures of shock phenomena at specific phases, including blue-shifted emission features and line splitting.
Current usage metrics show cumulative count of Article Views (full-text article views including HTML views, PDF and ePub downloads, according to the available data) and Abstracts Views on Vision4Press platform.
Data correspond to usage on the plateform after 2015. The current usage metrics is available 48-96 hours after online publication and is updated daily on week days.
Initial download of the metrics may take a while.