Fig. 17

Download original image
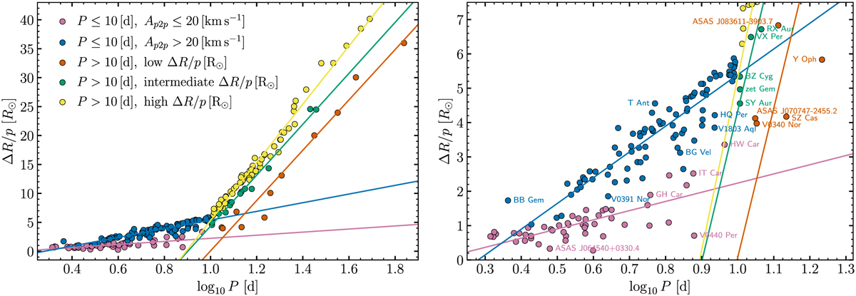
RV curve integrals (=ΔR/p) vs. log P determined from the VELOCE best fit models. Short-period Cepheids (Ppuls < 10 days) are separated into low- and high-amplitude stars using a peak-to-peak RV threshold of 20 km s−1 and color coded in purple (≤ 20 km s−1) and blue (>20 km s−1). Long-period (P > 10d) FU Cepheids exhibit a strikingly (~5.6–6.6×) steeper trend than short-period Cepheids. We introduce an ad hoc distinction among three sequences for P > 10 d FU Cepheids into stars exhibiting large (yellow), intermediate (green), and small (orange) radius variations. The right panel shows a close-up view to more easily distinguish among short-period Cepheids, where a large number of Cepheids are found between the well-defined envelopes made up of FU and FO Cepheids, respectively. Stars near the edges are labeled to facilitate identification.
Current usage metrics show cumulative count of Article Views (full-text article views including HTML views, PDF and ePub downloads, according to the available data) and Abstracts Views on Vision4Press platform.
Data correspond to usage on the plateform after 2015. The current usage metrics is available 48-96 hours after online publication and is updated daily on week days.
Initial download of the metrics may take a while.