Fig. 22

Download original image
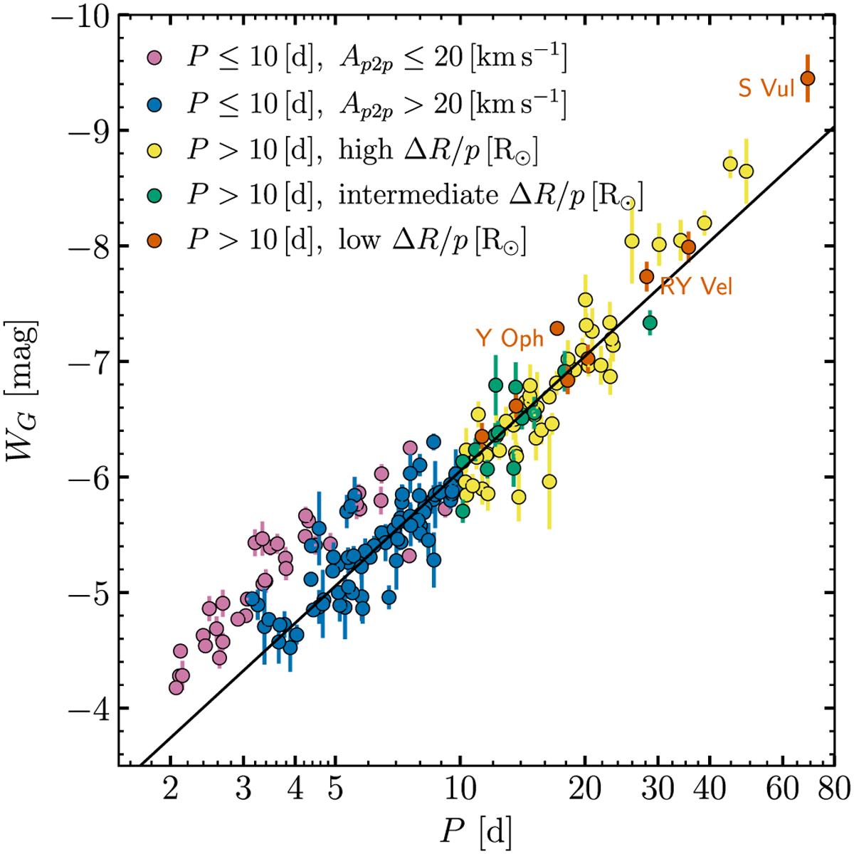
Comparison of the stars belonging to the five subgroups in Fig. 17 shown in relation to the FU Cepheid MW Leavitt law calibrated using cluster Cepheids (Cruz Reyes & Anderson 2023, black solid line) and the reddening-free Wesenheit magnitude WG. Low-ΔR Cepheids are shown in orange and are not systematic outliers from the LL. The most significant outliers are Y Oph (7.1σ from the LL, ⟨mG⟩ = 5.5 mag) and S Vul (3.9σ, ⟨mG⟩ = 6.7 mag). The limitations of this comparison are described in the text.
Current usage metrics show cumulative count of Article Views (full-text article views including HTML views, PDF and ePub downloads, according to the available data) and Abstracts Views on Vision4Press platform.
Data correspond to usage on the plateform after 2015. The current usage metrics is available 48-96 hours after online publication and is updated daily on week days.
Initial download of the metrics may take a while.