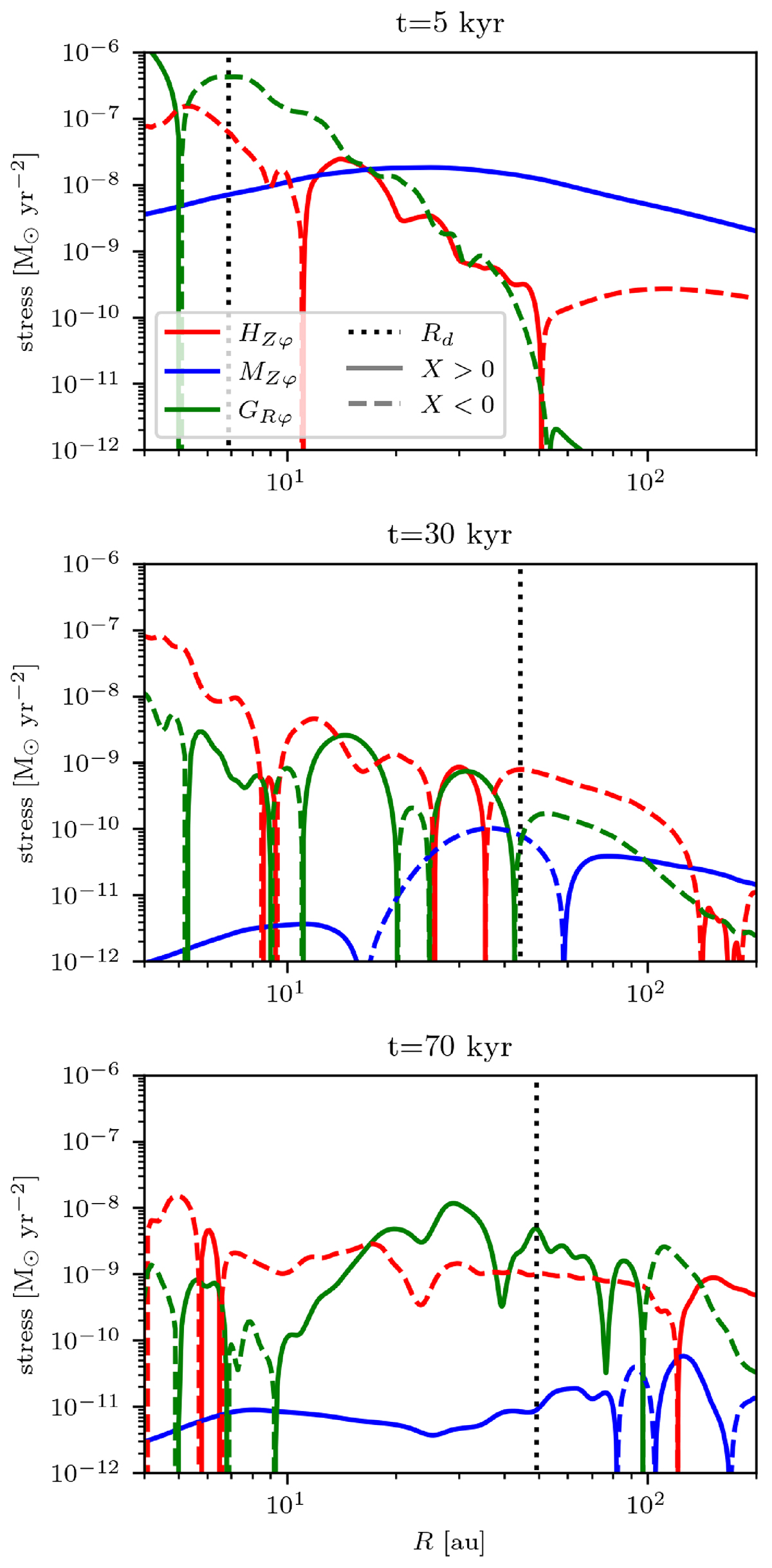
Fig. 5.

Download original image
From top to bottom we focus on t = 5, 30 and 70 kyr respectively. Each panel presents GRφ (green), MZφ (blue) and HZφ (red) versus the radius. Solid and dashed lines are associated with positive and negative stresses respectively. The dotted black line is the corresponding disk radius. Data are convolved in time using a 10 kyr window (equivalent to 8 orbits at 100 au).
Current usage metrics show cumulative count of Article Views (full-text article views including HTML views, PDF and ePub downloads, according to the available data) and Abstracts Views on Vision4Press platform.
Data correspond to usage on the plateform after 2015. The current usage metrics is available 48-96 hours after online publication and is updated daily on week days.
Initial download of the metrics may take a while.