Open Access
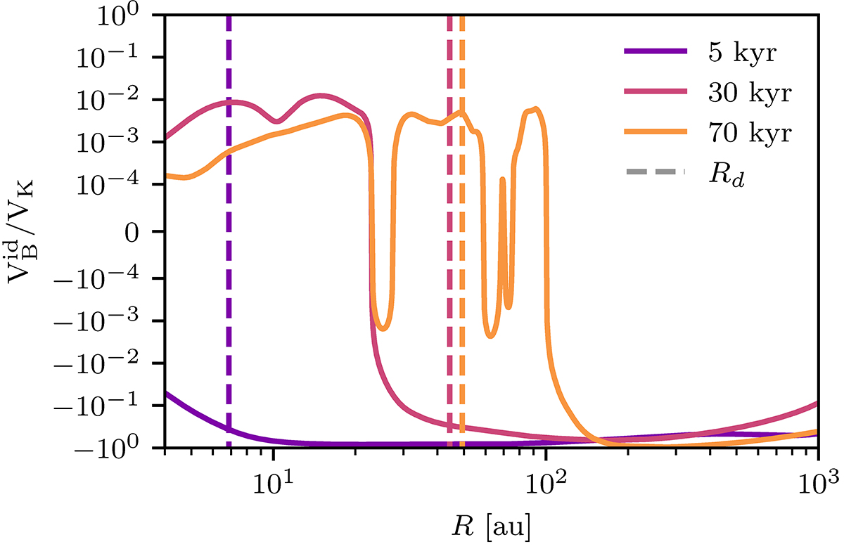
Fig. 9.

Download original image
Ideal magnetic flux velocity transport versus the radius. Each color corresponds to one snapshot at 5, 30, and 70 kyr respectively. The lighter, the later. Dashed lines represent the disk radius associated with each epoch. Data are convolved in time using a 10 kyr window (equivalent to 8 orbits at 100 au).
Current usage metrics show cumulative count of Article Views (full-text article views including HTML views, PDF and ePub downloads, according to the available data) and Abstracts Views on Vision4Press platform.
Data correspond to usage on the plateform after 2015. The current usage metrics is available 48-96 hours after online publication and is updated daily on week days.
Initial download of the metrics may take a while.