Open Access
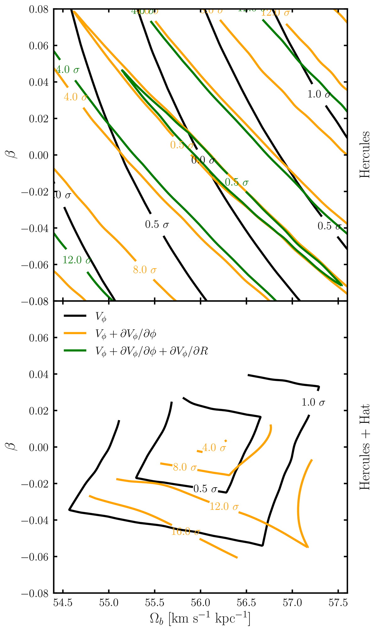
Fig. C.2.

Download original image
Similar to Fig. C.1 but showing the differences between the fiducial FBM and the galaxy models around it when using only the Hercules-like overdensity (top) or theHercules- and Hat-like one (bottom).
Current usage metrics show cumulative count of Article Views (full-text article views including HTML views, PDF and ePub downloads, according to the available data) and Abstracts Views on Vision4Press platform.
Data correspond to usage on the plateform after 2015. The current usage metrics is available 48-96 hours after online publication and is updated daily on week days.
Initial download of the metrics may take a while.