Fig. 4.

Download original image
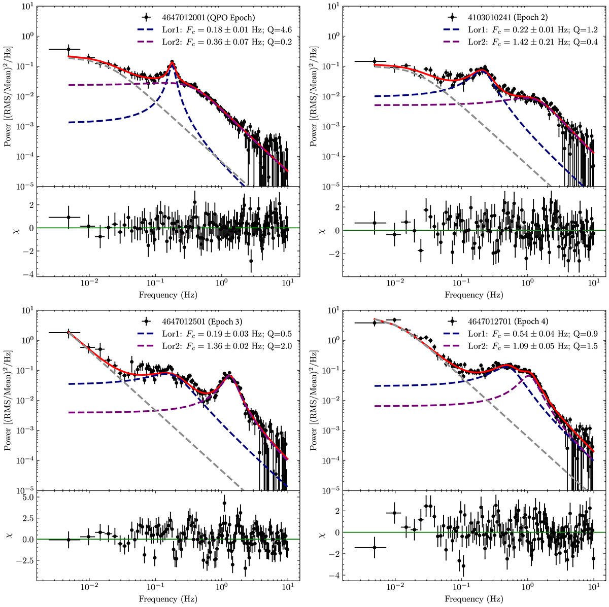
PDSs of ObsID 4647012001 (QPO Epoch), 4103010241 (Epoch 2), 4647012501 (Epoch 3), and 4647012701 (Epoch 4) fitted with three Lorentzian components shown as blue (Lor1), purple (Lor2), and gray dashed lines. The red line indicates the sum of all components. The bottom part of each panel shows the residual of the fitting. The characteristic frequency Fc and the Q factor of the Lor1 and Lor2 components are shown in each panel.
Current usage metrics show cumulative count of Article Views (full-text article views including HTML views, PDF and ePub downloads, according to the available data) and Abstracts Views on Vision4Press platform.
Data correspond to usage on the plateform after 2015. The current usage metrics is available 48-96 hours after online publication and is updated daily on week days.
Initial download of the metrics may take a while.