Fig. 2

Download original image
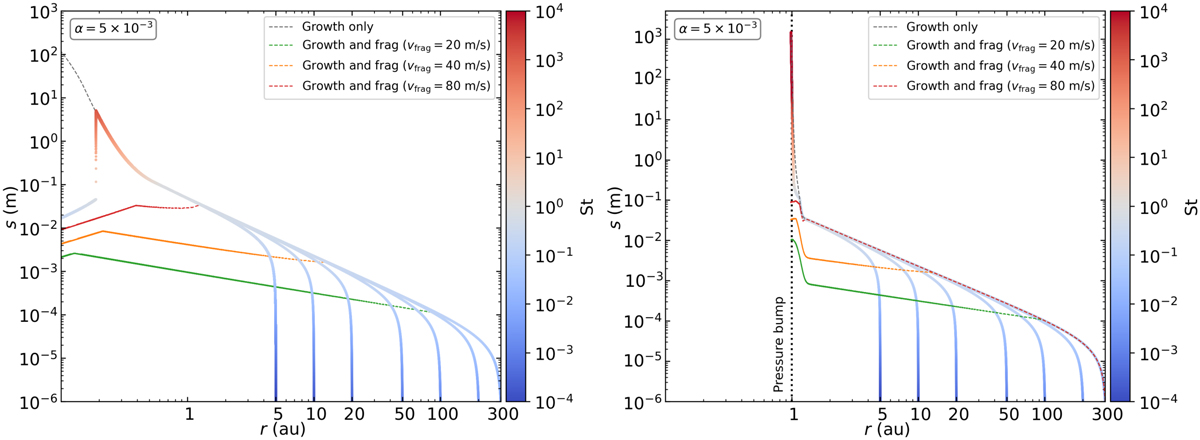
1D dust evolution. Left: evolution of the size, s, of grains experiencing growth and erosion only, as they grow and drift inwards from different initial distances, r, from the star. The colour represents the Stokes number. The dashed grey line represents the evolution without erosion, while the green, orange, and red lines represent the evolution with growth and fragmentation, using a fragmentation threshold of 20, 40, and 80 m s−1, respectively. The size of the ejected grains is sej = 1 mm, a typical value used by R20 and G20. Right: same as the left panel, but with a pressure maximum that traps dust at 1 au.
Current usage metrics show cumulative count of Article Views (full-text article views including HTML views, PDF and ePub downloads, according to the available data) and Abstracts Views on Vision4Press platform.
Data correspond to usage on the plateform after 2015. The current usage metrics is available 48-96 hours after online publication and is updated daily on week days.
Initial download of the metrics may take a while.