Fig. 13.

Download original image
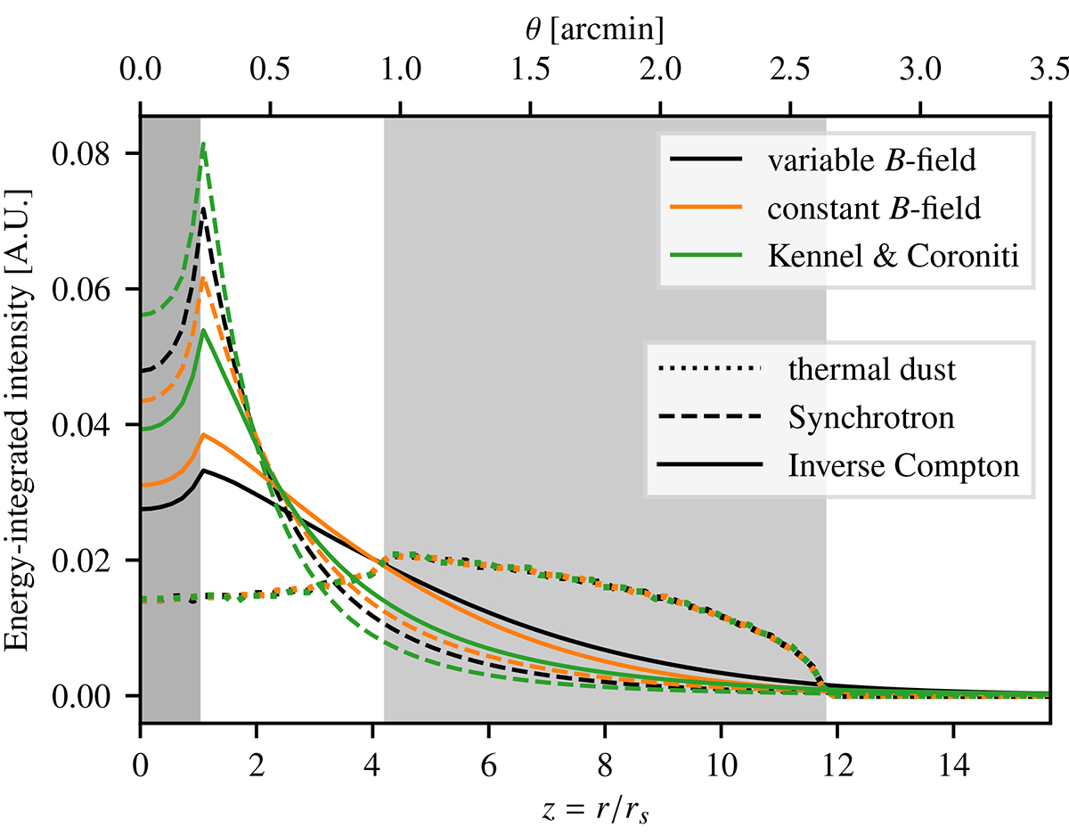
Energy-integrated intensity predicted by the three models, as a function of distance from the centre of the Crab Nebula. The solid, dashed, and dotted line correspond to IC, synchrotron, and dust emission, respectively; the colours refer to the three different tested models. The intensity has been integrated above 1 meV for the synchrotron emission and above 1 GeV for the IC emission. The dark grey band up to z = 1 indicates the region up to the shock radius, in which no emission is predicted by the models. The light grey band shows the dust shell, in which all the dust emission happens. The profiles show non-zero emission inside the shock region and dust emission outside the dust shell because the emissivity is integrated along the line of sight.
Current usage metrics show cumulative count of Article Views (full-text article views including HTML views, PDF and ePub downloads, according to the available data) and Abstracts Views on Vision4Press platform.
Data correspond to usage on the plateform after 2015. The current usage metrics is available 48-96 hours after online publication and is updated daily on week days.
Initial download of the metrics may take a while.