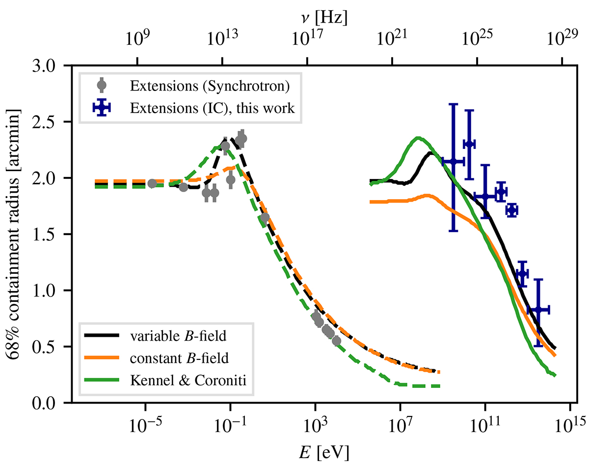
Fig. 14.

Download original image
Comparison of the 68% flux containment predicted by the models as function of energy (dashed for the synchrotron part and solid for the IC part). The grey synchrotron extension points are taken from Dirson & Horns (2023), and references therein. The error bars of the data points in the IC domain denote statistical uncertainties only.
Current usage metrics show cumulative count of Article Views (full-text article views including HTML views, PDF and ePub downloads, according to the available data) and Abstracts Views on Vision4Press platform.
Data correspond to usage on the plateform after 2015. The current usage metrics is available 48-96 hours after online publication and is updated daily on week days.
Initial download of the metrics may take a while.