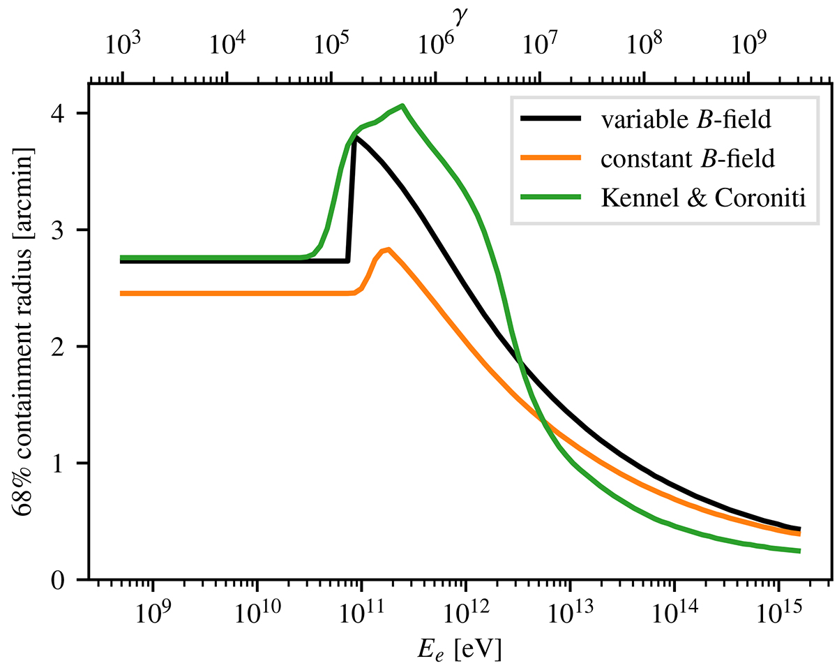
Fig. 15.

Download original image
Comparison of the 68% containment radii of the electron energy densities of the three models. The radio electrons dominate the low-energy part of the spectrum where the extension is not energy-dependent. The extension of the wind electrons changes with energy, following, in case of the static models, a simple power law. The spectral transition of the two distributions is shown in Fig. 8.
Current usage metrics show cumulative count of Article Views (full-text article views including HTML views, PDF and ePub downloads, according to the available data) and Abstracts Views on Vision4Press platform.
Data correspond to usage on the plateform after 2015. The current usage metrics is available 48-96 hours after online publication and is updated daily on week days.
Initial download of the metrics may take a while.