Fig. 8.

Download original image
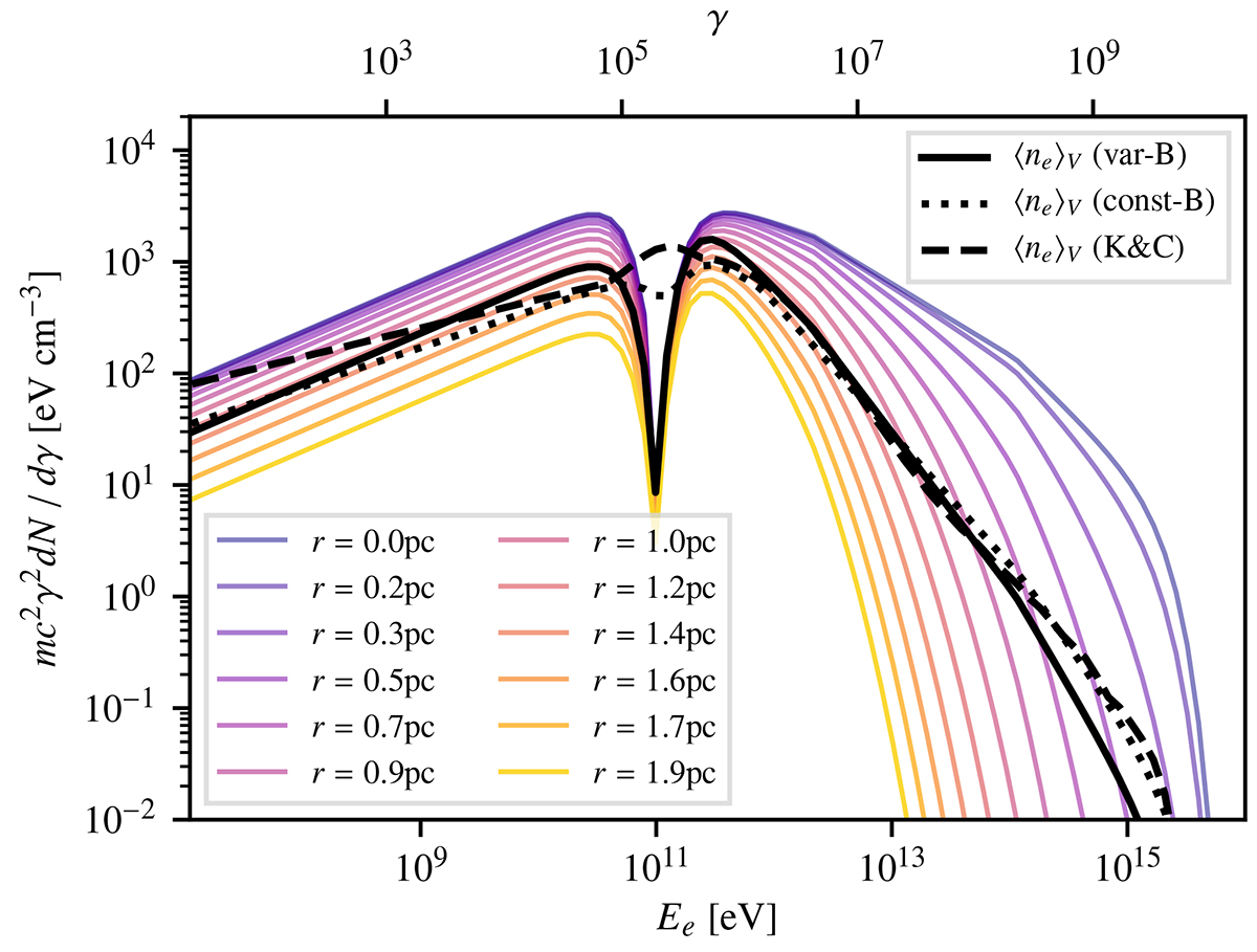
Electron densities of models, with parameters as given in Table C.1. The solid, dotted and dashed black lines show the volume-averaged density for the variable B-field, the constant B-field and the K&C model, respectively. The coloured lines show the electron density for the variable B-field model at different radii. The radio electrons (at energies below the “dip”) are modelled with an energy-independent extension, therefore the density drops with radius independent of energy. On the other hand, the density of the freshly injected wind electrons decreases more rapidly for higher energies.
Current usage metrics show cumulative count of Article Views (full-text article views including HTML views, PDF and ePub downloads, according to the available data) and Abstracts Views on Vision4Press platform.
Data correspond to usage on the plateform after 2015. The current usage metrics is available 48-96 hours after online publication and is updated daily on week days.
Initial download of the metrics may take a while.