Open Access
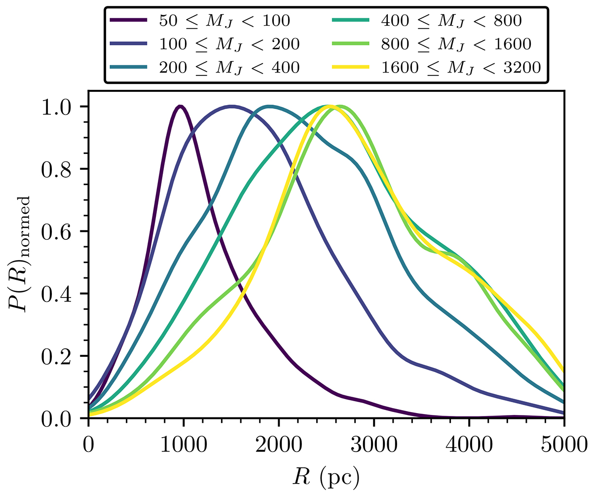
Fig. 12.

Download original image
Kernel density estimates of the two-dimensional distance from the Sun distribution of clusters in different mass ranges. All curves are normalised to have a peak of one for easier comparison between curves. (Adapted from Hunt 2023.)
Current usage metrics show cumulative count of Article Views (full-text article views including HTML views, PDF and ePub downloads, according to the available data) and Abstracts Views on Vision4Press platform.
Data correspond to usage on the plateform after 2015. The current usage metrics is available 48-96 hours after online publication and is updated daily on week days.
Initial download of the metrics may take a while.