Fig. 15.

Download original image
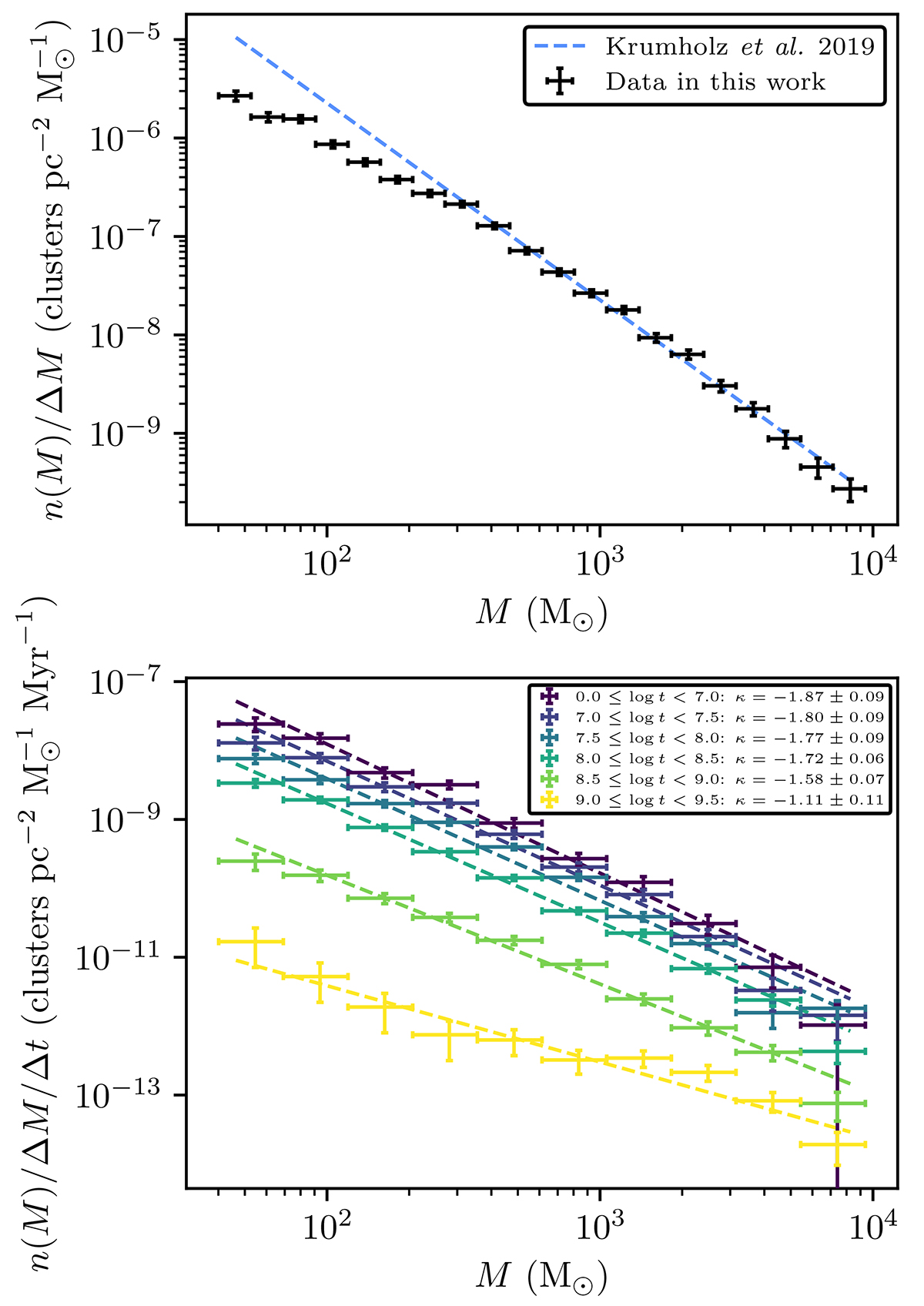
Mass function of OCs in this work. Top: completeness-corrected mass function of OCs in this work (black points) compared against a κ = −2 power law (Krumholz et al. 2019, blue dashed line) fit to clusters with masses greater than 400 M⊙. Bottom: completeness-corrected mass functions for clusters, separated into age ranges and including power-law fits to each age range.
Current usage metrics show cumulative count of Article Views (full-text article views including HTML views, PDF and ePub downloads, according to the available data) and Abstracts Views on Vision4Press platform.
Data correspond to usage on the plateform after 2015. The current usage metrics is available 48-96 hours after online publication and is updated daily on week days.
Initial download of the metrics may take a while.