Fig. 6

Download original image
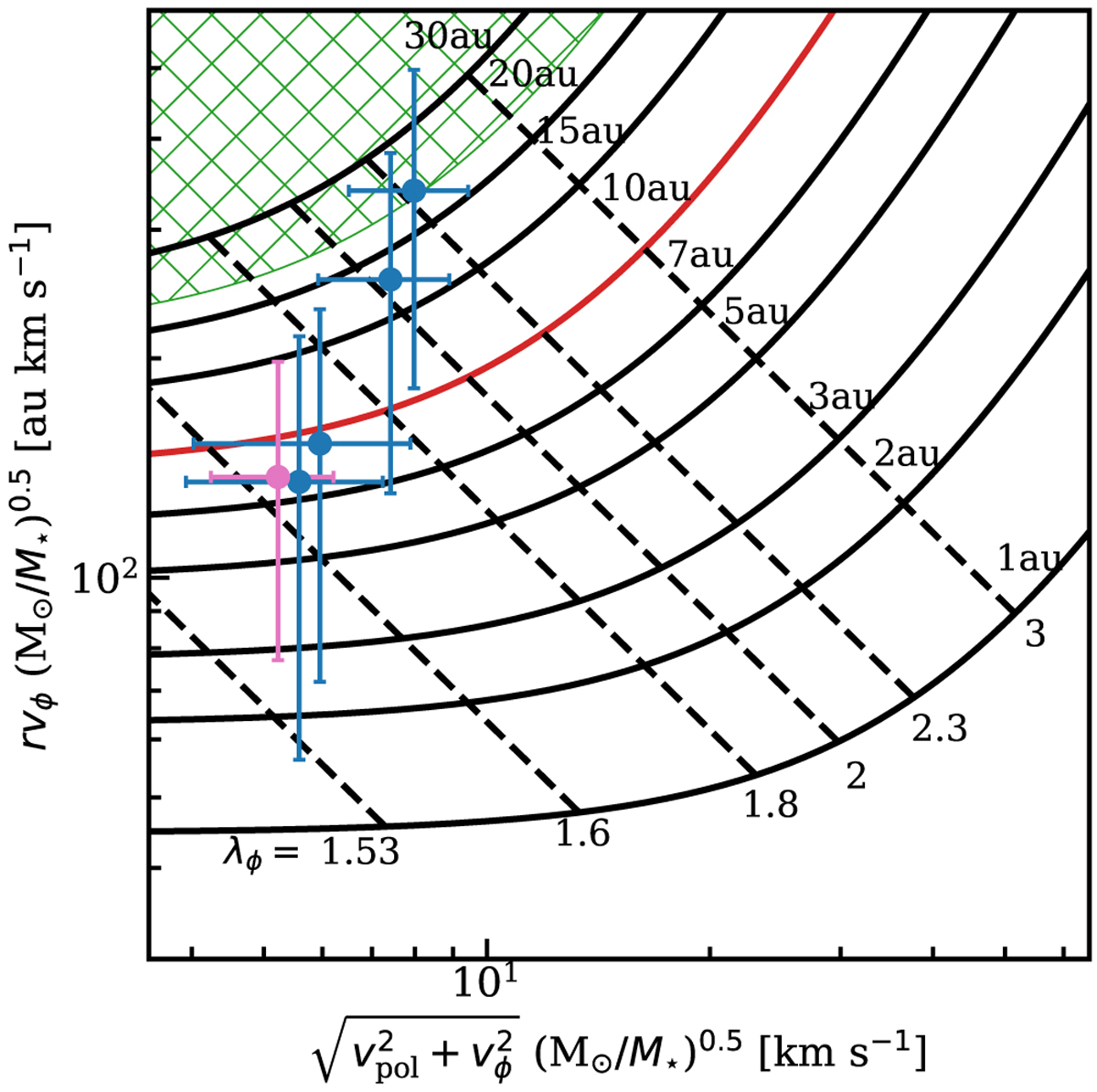
Diagnostic diagram of MHD disk-wind launch point and magnetic lever arm, updated from Ferreira et al. (2006) showing specific angular momentum as a function of the total gas velocity. The data points at different altitudes from Fig. A.2 are shown in blue (H13CN) and pink (CH3OH), where a protostellar mass of 0.5 M⊙ was adopted. The black grid in the background shows the relation between these two quantities predicted when gravitational potential is negligible, for different values of the wind launching radius r0 (solid curves, Eq. (4)) and magnetic lever arm parameter λϕ (dashed curves, Eq. (5)). In contrast to the first version of this diagram, introduced in Ferreira et al. (2006), the x-axis here plots the total gas velocity instead of υpol, since the measured υϕ is of the same order as υpol. The region with r0 above the dust disk radius of 23 au is hatched in green.
Current usage metrics show cumulative count of Article Views (full-text article views including HTML views, PDF and ePub downloads, according to the available data) and Abstracts Views on Vision4Press platform.
Data correspond to usage on the plateform after 2015. The current usage metrics is available 48-96 hours after online publication and is updated daily on week days.
Initial download of the metrics may take a while.