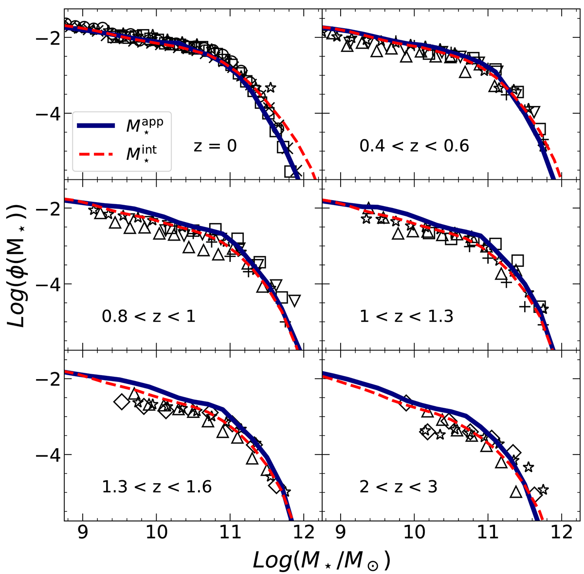
Fig. 2.

Download original image
Galaxy stellar mass function evolution as derived from different stellar mass estimates. The solid blue lines correspond to the estimate using the intrinsic stellar masses from the GAEA run. The dashed red lines show the predicted evolution using , i.e., the stellar mass derived from synthetic photometry under the hypothesis of a universal MW-like IMF (see text for more details). The gray points represent the observational data points as in the compilation from Fontanot et al. (2009).
Current usage metrics show cumulative count of Article Views (full-text article views including HTML views, PDF and ePub downloads, according to the available data) and Abstracts Views on Vision4Press platform.
Data correspond to usage on the plateform after 2015. The current usage metrics is available 48-96 hours after online publication and is updated daily on week days.
Initial download of the metrics may take a while.