Open Access
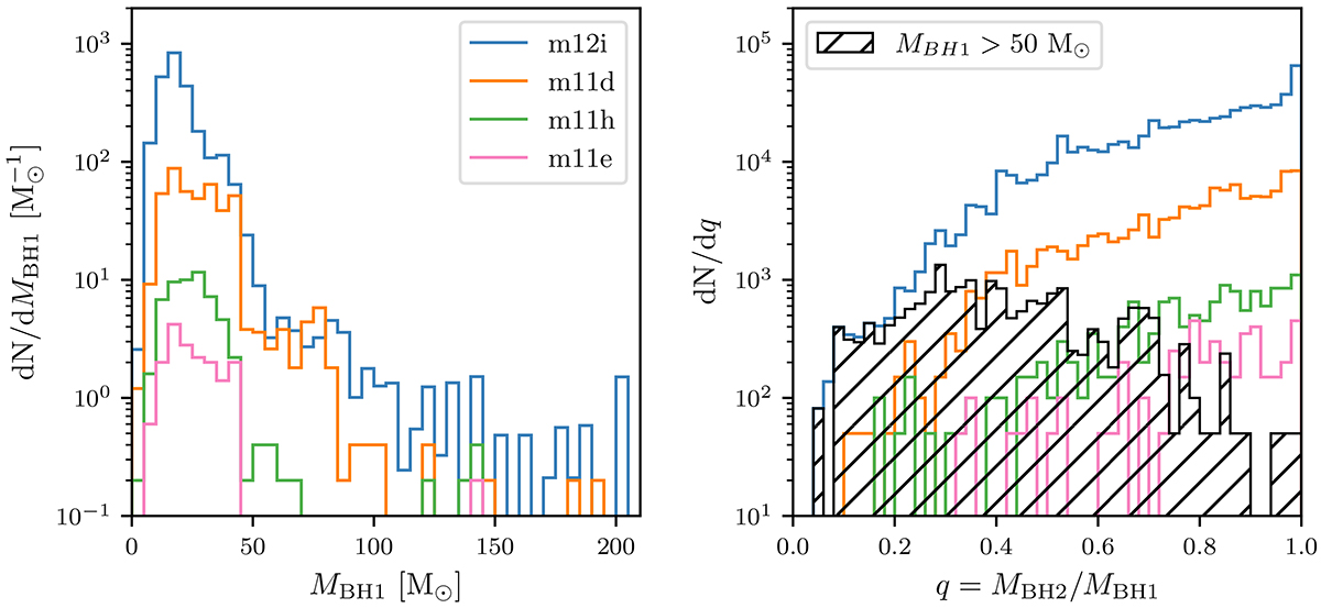
Fig. 8.

Download original image
BBH primary mass (left) and mass ratio (right) distributions in the simulated galaxies m11e, m11h, and m11d. On the right-hand side plot, the hatched areas show the mass ratio distributions for the BBHs with a primary mass MBH1 > 50 M⊙ in all four galaxies combined.
Current usage metrics show cumulative count of Article Views (full-text article views including HTML views, PDF and ePub downloads, according to the available data) and Abstracts Views on Vision4Press platform.
Data correspond to usage on the plateform after 2015. The current usage metrics is available 48-96 hours after online publication and is updated daily on week days.
Initial download of the metrics may take a while.