Fig. 7

Download original image
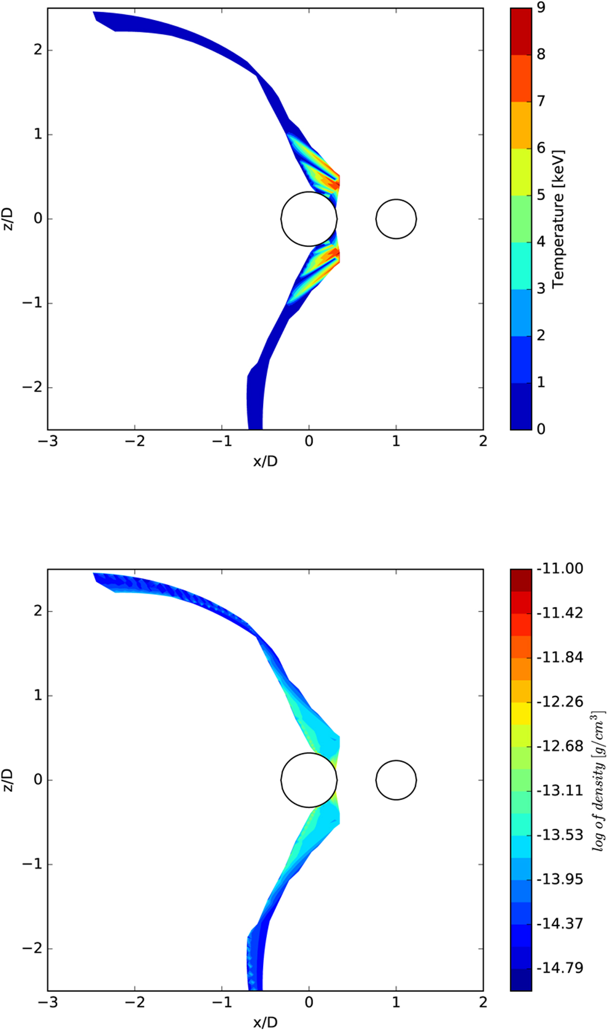
Theoretical temperature (top panel) and density (bottom panel) maps of the wind interaction zone in HD 149404 computed with the LIFELINE code (Mossoux & Rauw 2021), adopting the parameters of Model III (see Table 5). For this set of parameters, the wind of the primary star (on the right) crashes onto the surface of the secondary (on the left).
Current usage metrics show cumulative count of Article Views (full-text article views including HTML views, PDF and ePub downloads, according to the available data) and Abstracts Views on Vision4Press platform.
Data correspond to usage on the plateform after 2015. The current usage metrics is available 48-96 hours after online publication and is updated daily on week days.
Initial download of the metrics may take a while.