Open Access
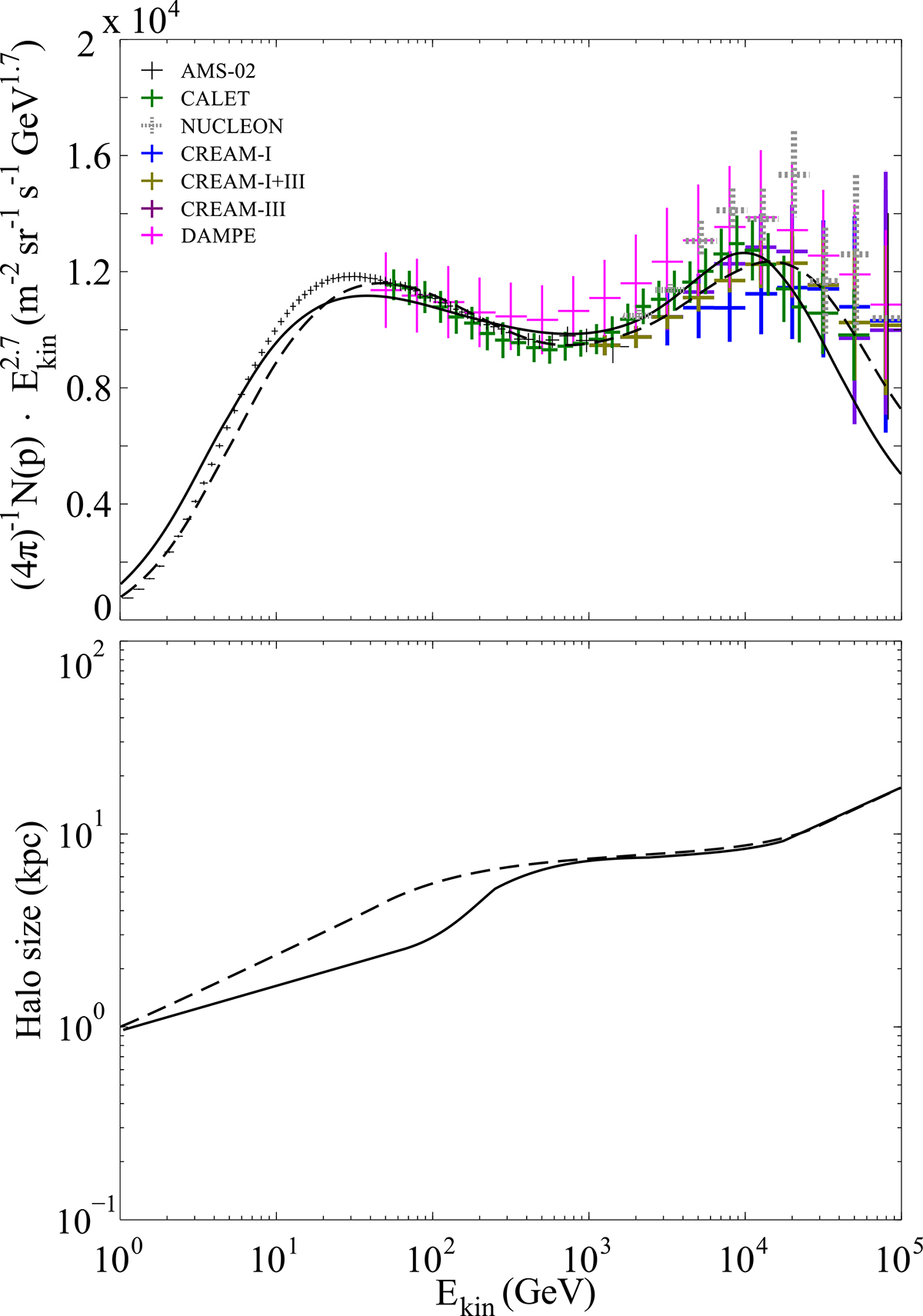
Fig. 1.

Download original image
Energy spectrum of CR protons (upper panel) and energy-dependent halo size (lower panel), derived from the self-consistent model by Chernyshov et al. (2022) without (dashed line) and with (solid line) taking into account the ion-neutral damping. The symbols in the upper panel depict the observational data.
Current usage metrics show cumulative count of Article Views (full-text article views including HTML views, PDF and ePub downloads, according to the available data) and Abstracts Views on Vision4Press platform.
Data correspond to usage on the plateform after 2015. The current usage metrics is available 48-96 hours after online publication and is updated daily on week days.
Initial download of the metrics may take a while.