Open Access
Fig. 10

Download original image
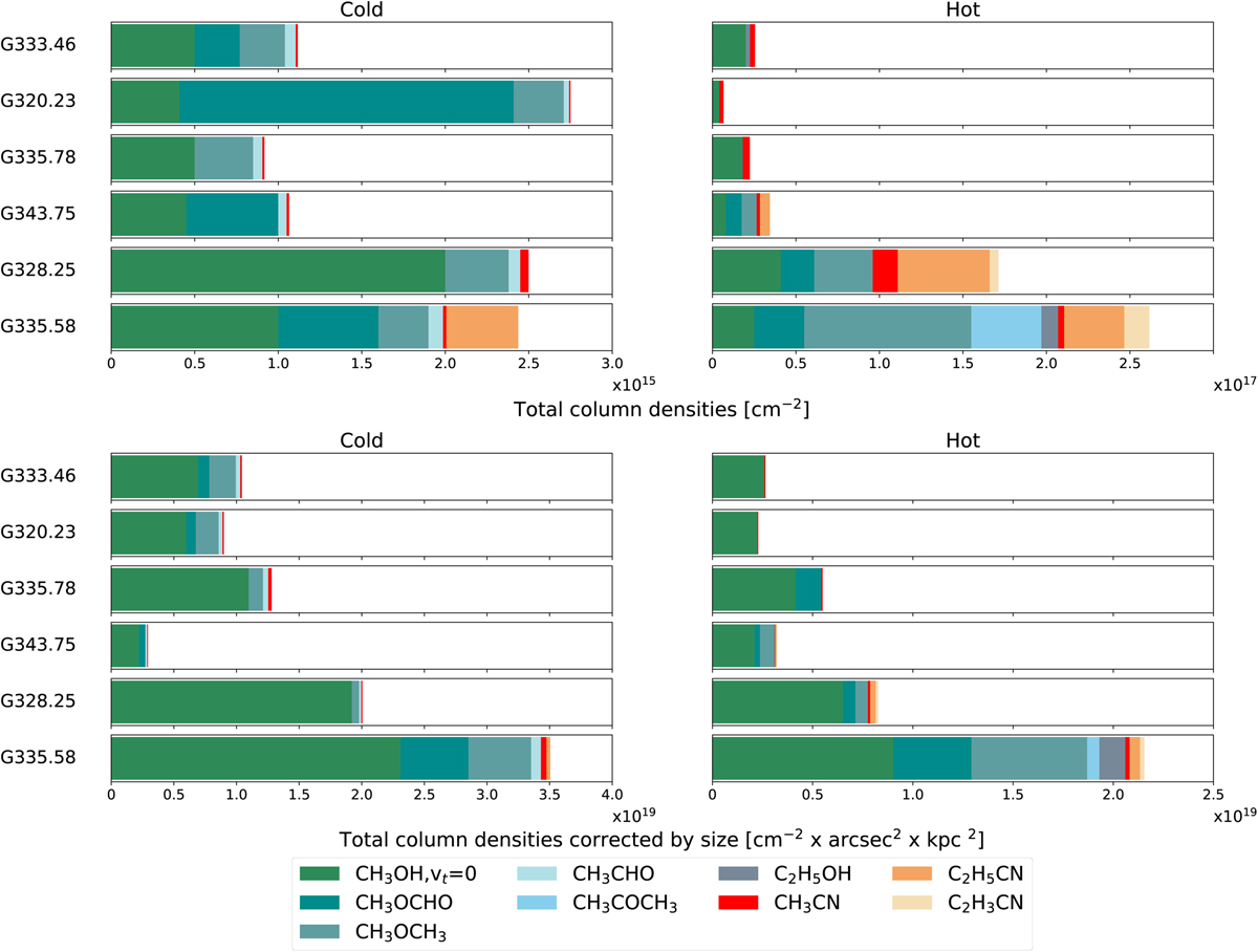
Top panel: column densities of the detected COMs in the cold (left column) and hot (right column) gas. Bottom panel: column densities normalised by the physical size of the emitting region of the COMs in the cold (left column) and hot (right column) gas. Each molecule is represented by one colour.
Current usage metrics show cumulative count of Article Views (full-text article views including HTML views, PDF and ePub downloads, according to the available data) and Abstracts Views on Vision4Press platform.
Data correspond to usage on the plateform after 2015. The current usage metrics is available 48-96 hours after online publication and is updated daily on week days.
Initial download of the metrics may take a while.