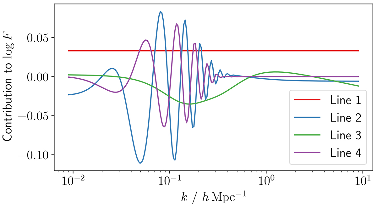
Fig. 5.

Download original image
Contributions to log F from our emulator as a function of k for the Planck 2018 cosmology. The line numbers indicated in the legend correspond to the line in Eq. (6). One sees that the first term provides an overall offset, the second and fourth capture the BAO signal, and the third term contains a broad oscillation and then matches on to the decaying residual at high k.
Current usage metrics show cumulative count of Article Views (full-text article views including HTML views, PDF and ePub downloads, according to the available data) and Abstracts Views on Vision4Press platform.
Data correspond to usage on the plateform after 2015. The current usage metrics is available 48-96 hours after online publication and is updated daily on week days.
Initial download of the metrics may take a while.