Fig. 4.

Download original image
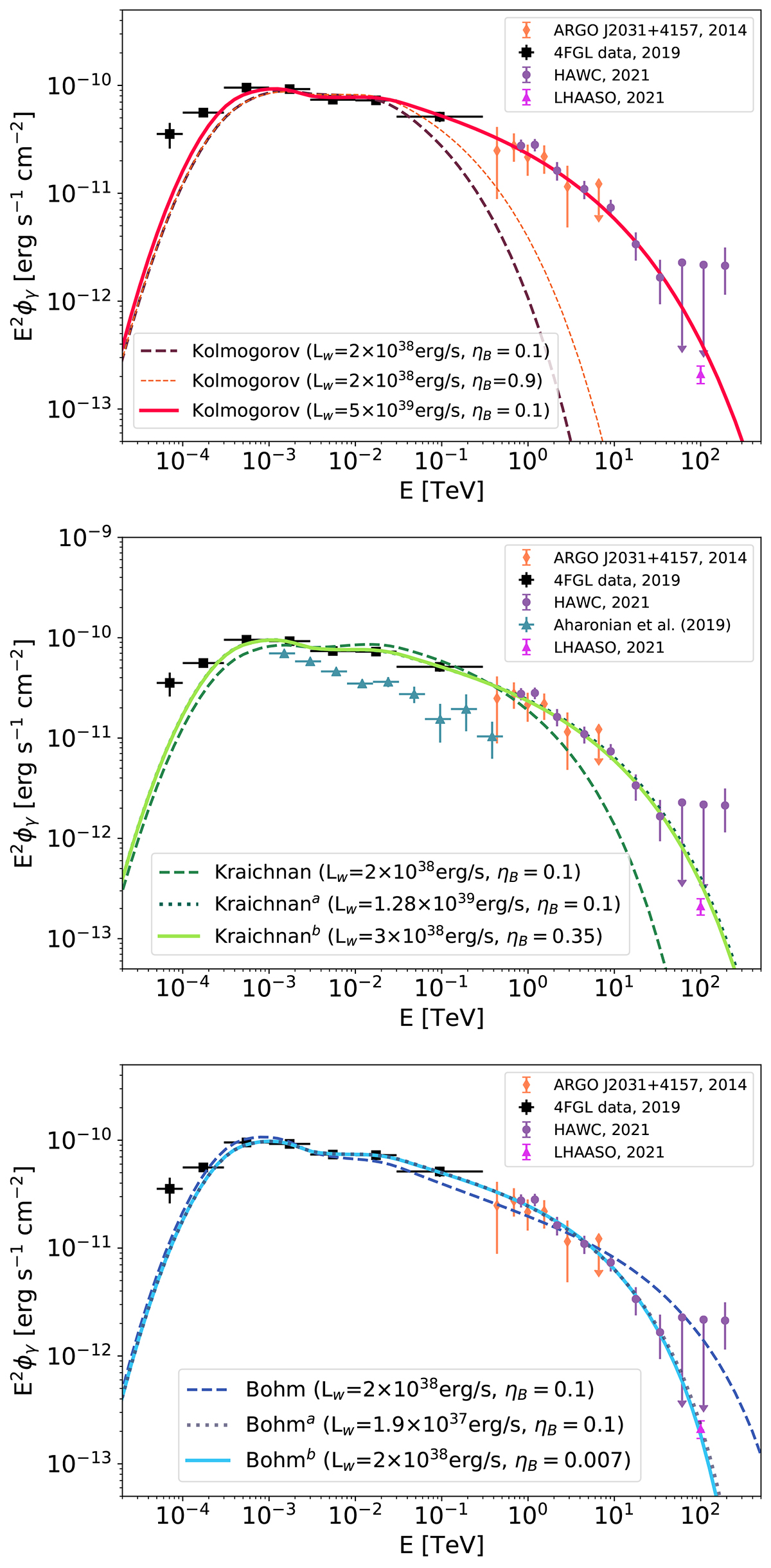
Spectral energy distribution of the expected hadronic γ-ray emission extracted from a region of 2.2° centred on Cyg OB2. Lines in different panels refer to Kolmogorov (top panel), Kraichnan (middle panel), and Bohm cases (bottom panel). Solid lines always represent the best-fit curves, whose underlying parameters are summarised in Table 2. Other line-types correspond to the values of the parameters listed in the legend inside each panel.
Current usage metrics show cumulative count of Article Views (full-text article views including HTML views, PDF and ePub downloads, according to the available data) and Abstracts Views on Vision4Press platform.
Data correspond to usage on the plateform after 2015. The current usage metrics is available 48-96 hours after online publication and is updated daily on week days.
Initial download of the metrics may take a while.