Open Access
Fig. 12

Download original image
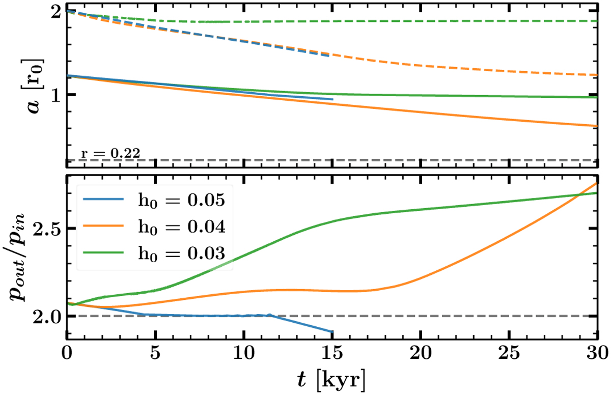
Influence of a decreasing aspect ratio on the evolution of the planetary system. The first panel shows the evolution of the semi-major axis and the second panel the period ratio of the planets.
Current usage metrics show cumulative count of Article Views (full-text article views including HTML views, PDF and ePub downloads, according to the available data) and Abstracts Views on Vision4Press platform.
Data correspond to usage on the plateform after 2015. The current usage metrics is available 48-96 hours after online publication and is updated daily on week days.
Initial download of the metrics may take a while.