Fig. 17

Download original image
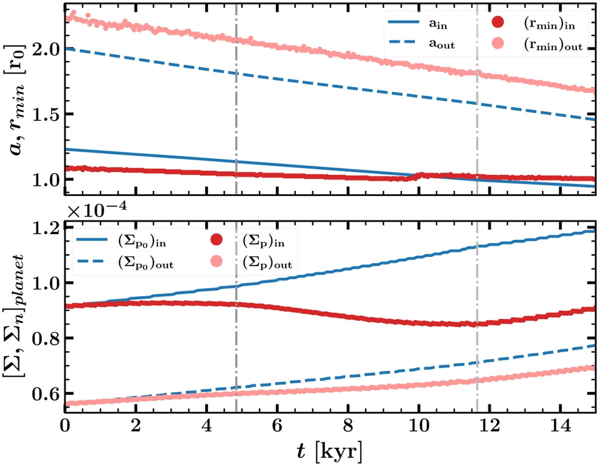
Time evolution of gaps’ positions and depths. Top: time evolution of the semi-major axis and the position at which surface density has its minimum value. Bottom: time evolution of the surface density in the absence of the planet (disc’s power-law surface density) in blue, and the surface density in the position of planets in dark and light red for inner and outer planets.
Current usage metrics show cumulative count of Article Views (full-text article views including HTML views, PDF and ePub downloads, according to the available data) and Abstracts Views on Vision4Press platform.
Data correspond to usage on the plateform after 2015. The current usage metrics is available 48-96 hours after online publication and is updated daily on week days.
Initial download of the metrics may take a while.