Fig. 2

Download original image
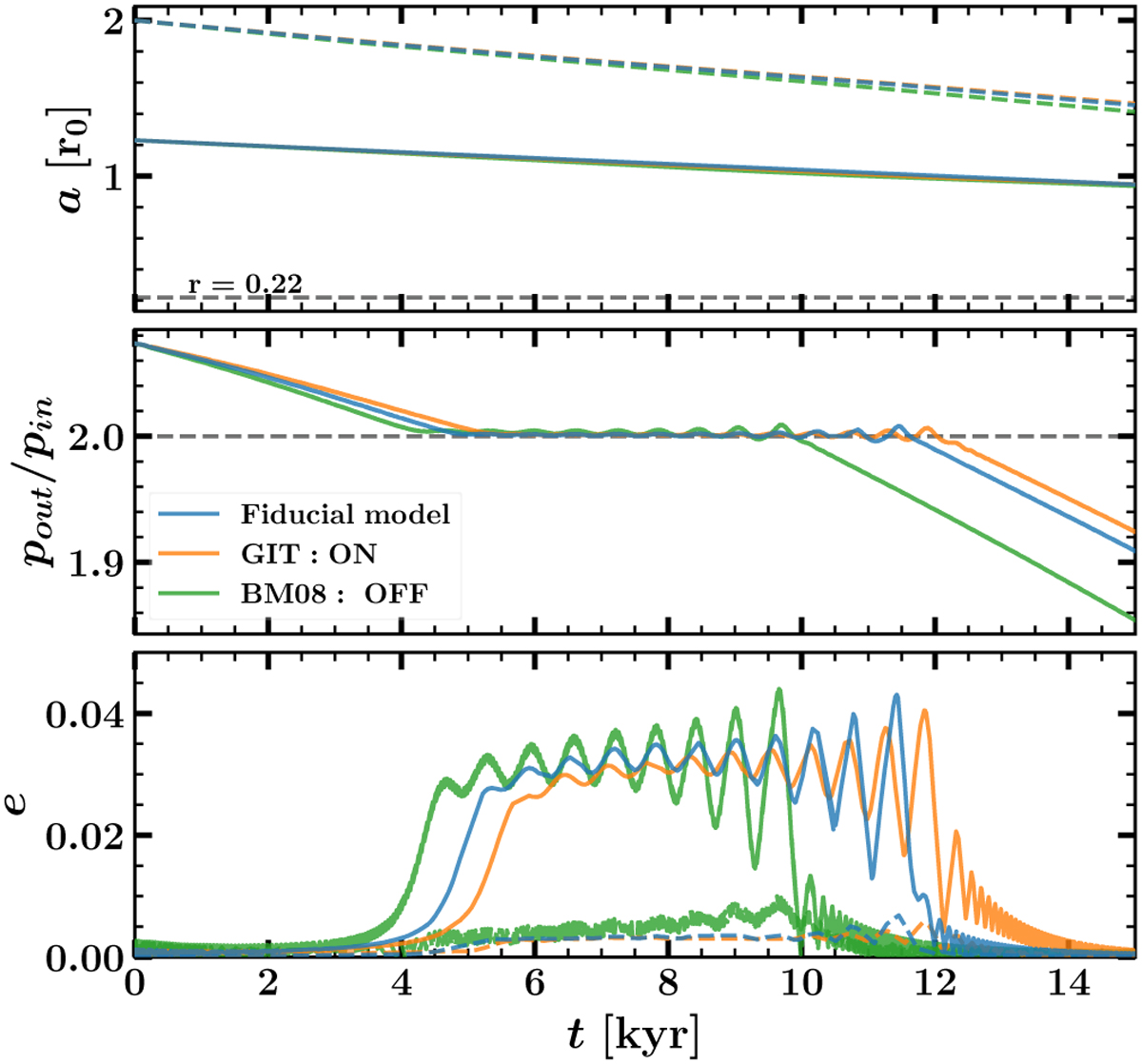
Impact of the GIT and BM08 correction on overstability occurrence. Evolution of the semi-major axis of planets (top), the period ratio of the outer planet to the inner one (middle), and the eccentricity of the inner planet (larger eccentricities) and the outer one (shorter eccentricities; bottom). In the top panel, the solid lines represent the inner planet and the dashed lines the outer planet.
Current usage metrics show cumulative count of Article Views (full-text article views including HTML views, PDF and ePub downloads, according to the available data) and Abstracts Views on Vision4Press platform.
Data correspond to usage on the plateform after 2015. The current usage metrics is available 48-96 hours after online publication and is updated daily on week days.
Initial download of the metrics may take a while.