Fig. 3

Download original image
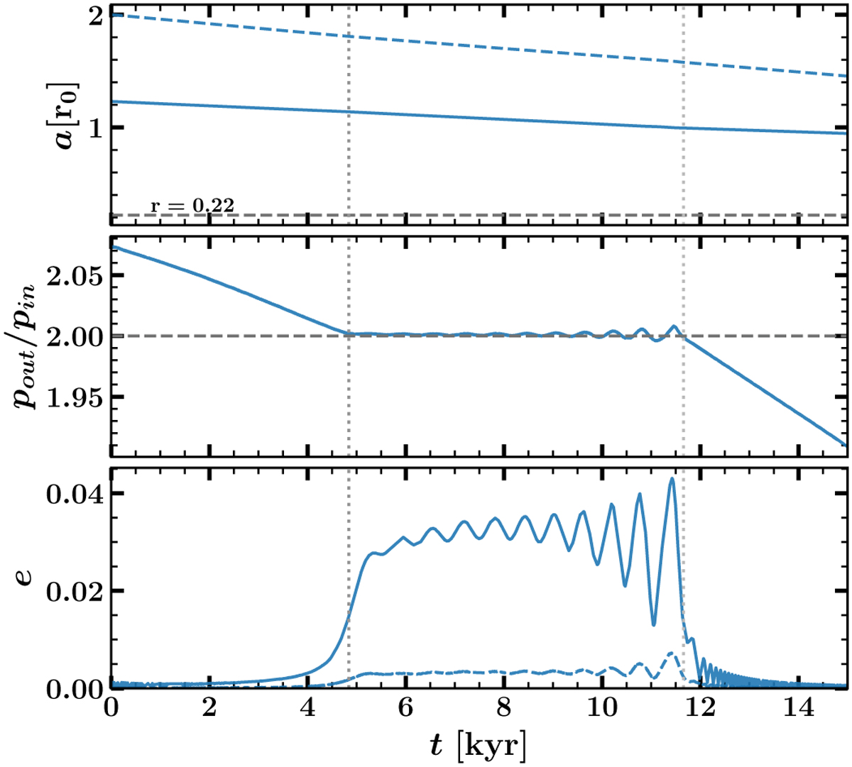
Time evolution of the planets’ orbital properties. From top to bottom: the planets’ semi-major axes, the orbital period ratio of the outer planet to the inner one, and the eccentricity of the inner and outer planets. In the top panel, the solid lines represent the inner planet and the dashed lines the outer planet. The two planets are initially located close to a 2:1 resonance. The horizontal dashed line, r = 0.22, corresponds to the inner damping radius. The vertical dark and light grey lines represent the time when the planets are in resonance. In our fiducial model, the dark grey line corresponds to t = 4840 yr and the light grey line to t = 11 660 yr.
Current usage metrics show cumulative count of Article Views (full-text article views including HTML views, PDF and ePub downloads, according to the available data) and Abstracts Views on Vision4Press platform.
Data correspond to usage on the plateform after 2015. The current usage metrics is available 48-96 hours after online publication and is updated daily on week days.
Initial download of the metrics may take a while.