Fig. 6

Download original image
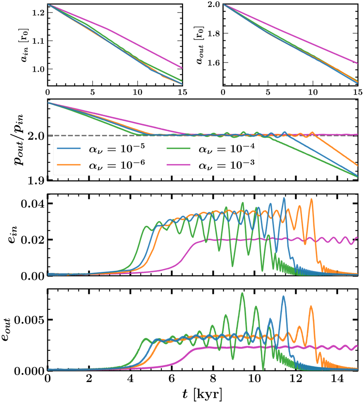
Influence of viscosity on the evolution of the planetary system for αv = 10−6,10−5,10−4, and 10−3, where 10−5 represents our fiducial model. The figure displays the semi-major axes, the period ratio of planets, and the eccentricity of inner and outer planets from top to bottom. The first row is divided into right and left panels, illustrating the semi-major axes of the inner and outer planets, respectively.
Current usage metrics show cumulative count of Article Views (full-text article views including HTML views, PDF and ePub downloads, according to the available data) and Abstracts Views on Vision4Press platform.
Data correspond to usage on the plateform after 2015. The current usage metrics is available 48-96 hours after online publication and is updated daily on week days.
Initial download of the metrics may take a while.