Fig. 9

Download original image
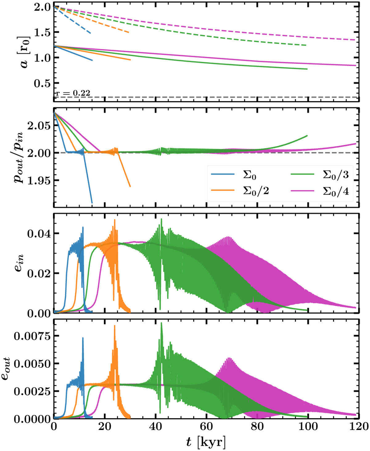
Impact of a decreasing surface density of the disc on the orbital properties of planets. From top to bottom: evolution of planets semi-major axes, the period ratio of planets, and the eccentricity of the inner and outer planets. The dashed lines represent the outer planet, while the solid lines represent the inner planet. The dotted line, which corresponds to r = 0.22, represents the inner damping radius.
Current usage metrics show cumulative count of Article Views (full-text article views including HTML views, PDF and ePub downloads, according to the available data) and Abstracts Views on Vision4Press platform.
Data correspond to usage on the plateform after 2015. The current usage metrics is available 48-96 hours after online publication and is updated daily on week days.
Initial download of the metrics may take a while.