Open Access
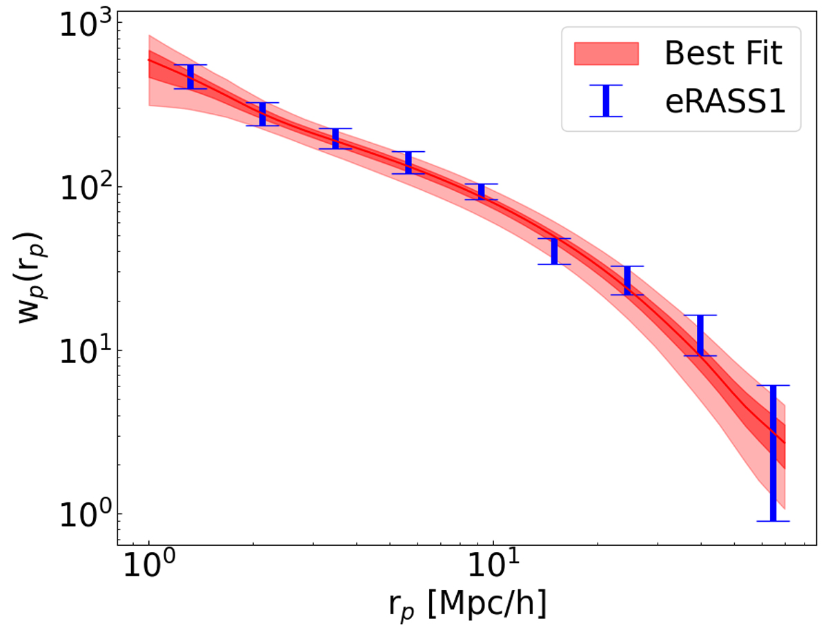
Fig. 12.

Download original image
Projected correlation functions of the eRASS1 clusters. The error bars show the measurement, the solid line is the best fit cosmological model, and the shaded areas denote the 1-σ and 2-σ uncertainty on the model.
Current usage metrics show cumulative count of Article Views (full-text article views including HTML views, PDF and ePub downloads, according to the available data) and Abstracts Views on Vision4Press platform.
Data correspond to usage on the plateform after 2015. The current usage metrics is available 48-96 hours after online publication and is updated daily on week days.
Initial download of the metrics may take a while.