Fig. 10

Download original image
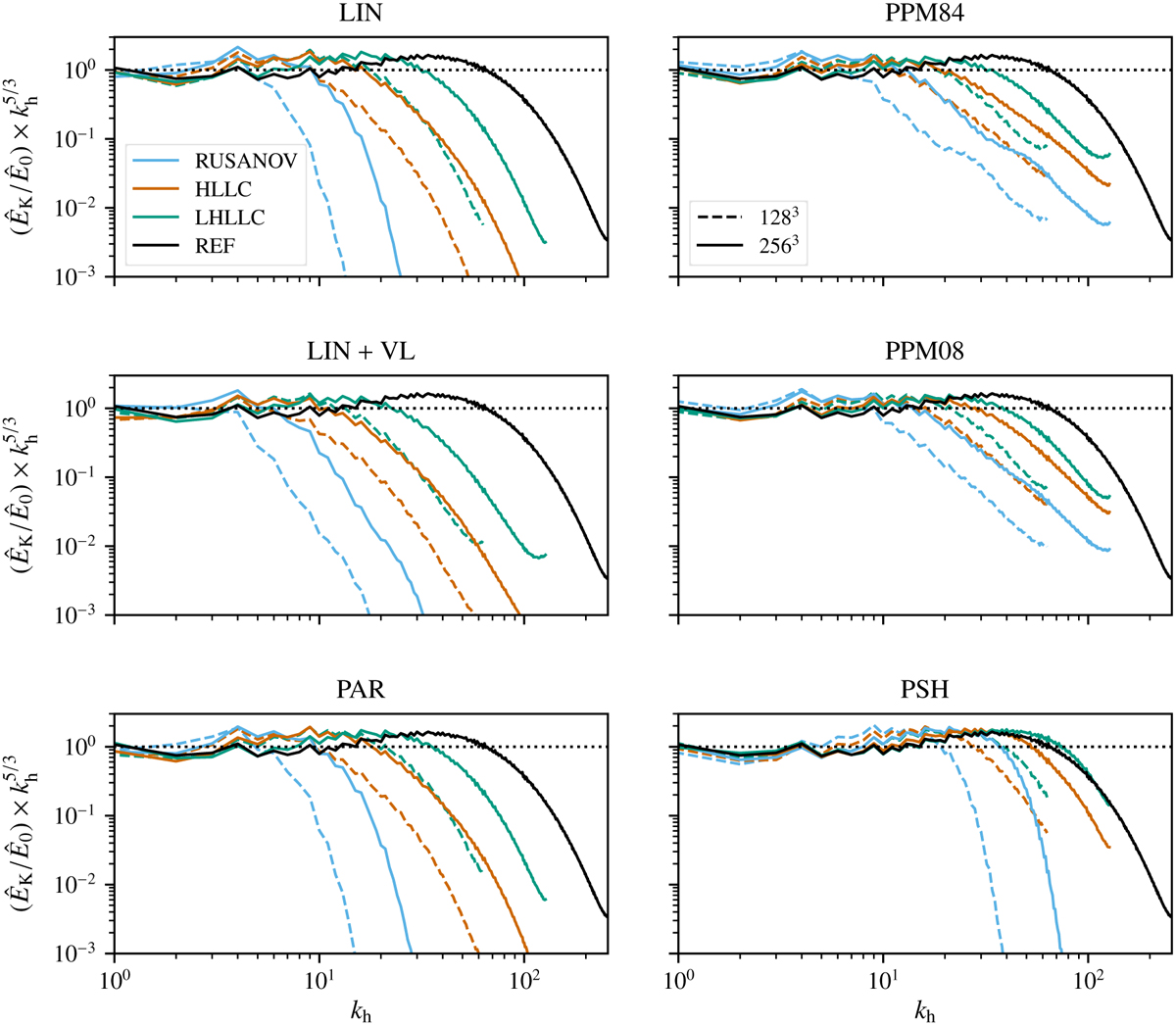
Kinetic energy spectra computed on the horizontal plane y = 1.5 of the convective layer for all of our 18 combinations of Riemann solvers and spatial reconstruction schemes in the problem of turbulent convection and wave excitation. The spectra have been averaged over the time interval t ∈ (10τconv, 32τconv) and rescaled by the Kolmogorov law (kh−5/3) and by the value Ê0 of the spectral energy density of the reference run at kh = 15.
Current usage metrics show cumulative count of Article Views (full-text article views including HTML views, PDF and ePub downloads, according to the available data) and Abstracts Views on Vision4Press platform.
Data correspond to usage on the plateform after 2015. The current usage metrics is available 48-96 hours after online publication and is updated daily on week days.
Initial download of the metrics may take a while.