Open Access
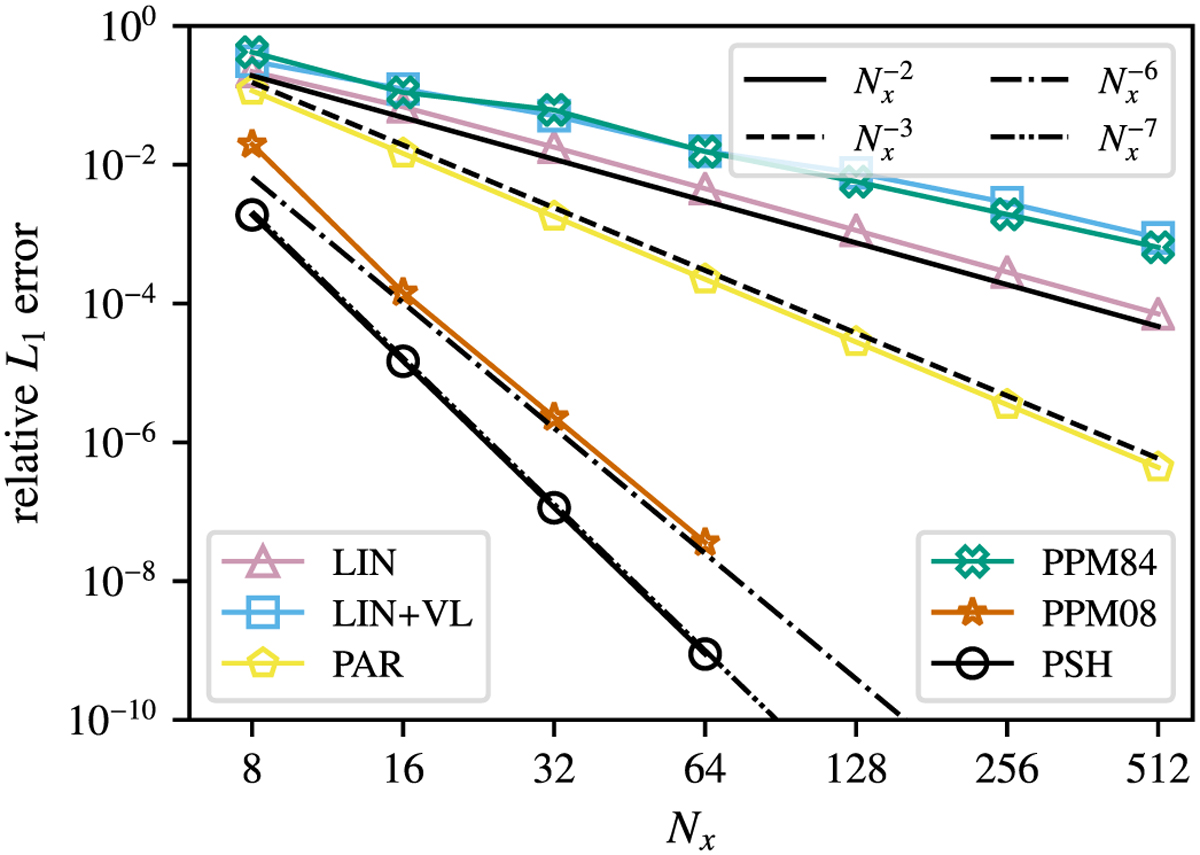
Fig. B.2

Download original image
Relative L1 errors in velocity u obtained by propagating a sinusoidal sound wave by one period on 1D grids with Nx cells using different reconstruction schemes. A few scaling relations are shown to guide the eye.
Current usage metrics show cumulative count of Article Views (full-text article views including HTML views, PDF and ePub downloads, according to the available data) and Abstracts Views on Vision4Press platform.
Data correspond to usage on the plateform after 2015. The current usage metrics is available 48-96 hours after online publication and is updated daily on week days.
Initial download of the metrics may take a while.