Fig. 3

Download original image
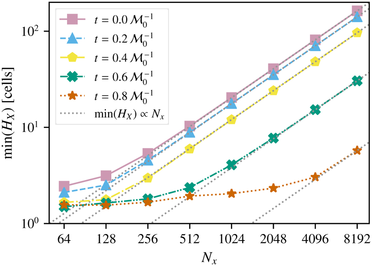
Resolution dependence of the minimum scale height min(Hx) of the passive scalar in the Kelvin–Helmholtz problem expressed in units of the computational cell width and shown at five points in time. Grid resolution is given by the number Nx of computational cells along the x axis. The initial Mach number is 0 = 10−2 and we use PSH reconstruction and the LHLLC flux function in this series of simulations. Once the steepest gradients in X become resolved the minimum scale height starts to follow the linear scaling relations shown.
Current usage metrics show cumulative count of Article Views (full-text article views including HTML views, PDF and ePub downloads, according to the available data) and Abstracts Views on Vision4Press platform.
Data correspond to usage on the plateform after 2015. The current usage metrics is available 48-96 hours after online publication and is updated daily on week days.
Initial download of the metrics may take a while.